|
磁性材料在日常生活中的应用广泛,可用于电声、电信、电表、电机中,还可作记忆元件、微波元件等。在磁性材料的描述中,磁化率是用来表征磁性材料磁特性的重要参数。因此针对性提高磁性材料的磁化率,可以扩展或增强其应用。 与此同时,离子液体(ILs)是一类低温熔融盐,由于它们具有良好的物理化学特性,例如低蒸气压、高热稳定性、宽电化学窗口等,ILs在发现之后,在许多领域都引起了极大的关注。近来,在IL结构的阳离子或阴离子中掺入顺磁性组分产生的磁性离子液体(MIL)成为ILs功能材料研究的热点之一。1-甲基-3-丁基咪唑四氯合铁(III)酸盐([C4mim][FeCl4])是第一个磁性离子液体,随后,各种离子和稀土离子已被用作制备MIL的顺磁性中心。稀土离子的引入为解决含过渡金属离子的MIL的低饱和磁化问题提供了一种新方法。 基于此,3003新葡官方网站的沈兴海等人通过在IL的阳离子和阴离子中掺入镧系元素离子来制备MIL1-6(Ln=Tb、Dy、Ho、Er、Tm、Yb),实现了磁性材料磁化率的提高。
图1. 磁性离子液体的合成
图2. 磁性离子液体的热重图谱
MIL1-6通过三个步骤合成,通过电喷雾电离质谱(ESI-MS)、元素分析(EA)和红外光谱(IR)对其进行表征,表明MILs的成功合成。为了评估这些MIL的热稳定性,使用热重分析(TGA)确定了分解温度。发现这些MIL由于相似的化学结构而显示出相似的一步式重量损失曲线,并且在低于573 K时具有良好热稳定性。通过差示扫描量热法(DSC)测定这些化合物的玻璃化转变温度(Tg)MIL1-6的Tg值分别为242.1、243.0、242.3、240.6、237.9和239.1K。因此,所有MIL均在室温下呈液态。
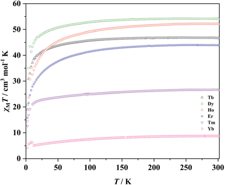
图3. 温度与磁化率的乘积与温度的关系
所有样品在所研究的温度范围内表现出顺磁行为,并且在高温区域达到恒定的χMT值。随着温度的降低,特别是在较低的温度下,χMT值急剧下降,表明为反铁磁耦合。在室温下,MIL1-5的χMT值分别为46.7、54.2、52.2、43.9和26.7 cm3 mol-1 K。由于MILs中高浓度的磁性中心,其χMT比含有单个相应镧系离子的MILs高4倍,但低于阳离子中含有5个镧系离子的MILs。
图4. 2,5和300 K时MIL2的磁化强度的场依赖性图(M–H)
MIL-2在2、5和300 K时的场相关磁化强度显示出不同的趋势,在2 K时,出现磁滞现象,而在5 K和300 K磁场下没有观察到磁滞现象。在5 K时,随着外部磁场的逐渐增加,磁化强度呈对数增加,磁化曲线的斜率逐渐减小。这是由于在低温下,Ln3+的电子自旋随着磁场的增加,它们逐渐从无序状态重新变为定向状态。然而,由于弱的热运动和Ln3+之间的间接相互作用,由磁场驱动的自旋取向变得越来越困难,并且在2 K和5 K下,出现磁弛豫表明它应该是单分子磁体。在300 K时,它表现出典型的顺磁性行为:没有热运动引起的Ln3+之间的相互作用,磁化强度随磁场的增加而线性增加。 综上所述,研究人员合成了新型的磁性离子液体。MIL的χMT在室温下比含有单个相应镧系离子的MILs高4倍。这些MIL的磁性也表明,通过在ILs的阳离子和阴离子中掺入稀土离子是提高磁化率的有效策略。
原文链接: https://pubs.rsc.org/en/content/articlelanding/2019/NJ/C9NJ03464A |
||
|
|
||





