Professor Jian Liu and co-workers of the College of Chemistry and Molecular Engineering (CCME),Peking University have recently published an invited Perspective entitled “Nonadiabatic Field on Quantum Phase Space: A Century after Ehrenfest” in The Journal of Physical Chemistry Letters. Paul Ehrenfest and Tatyana Ehrenfest first used “Phasenraum” in 1911 and Paul Ehrenfest proposed therenowned Ehrenfest theorem in 1927. The Perspective reports a conceptually novel trajectory-based nonadiabatic quantum dynamics approach, nonadiabatic field (NAF) based on the exact constraint coordinate-momentum phase space (CPS) formulation.

Fig. 1 (a) Paul Ehrenfest and Tatyana Ehrenfest (image source: Wikipedia); (b) The original article where the Ehrenfest couple first used the term, phase space (“Phasenraum”) (Ehrenfest, P.; Ehrenfest, T. Begriffliche Grundlagen Der Statistischen Auffassung in Der Mechanik. In Encyklopädie Der Mathematischen Wissenschafte, B. G. Teubner: Liepzig,Germany, 1911; Vol. 4, pp 1-90).
Because the mass difference between nuclei and electrons is of at least three orders of magnitude, the time scales of nuclei and electrons are often well-separated.It led to the well-known Born-Oppenheimer approximation proposed by Max Born and J. Robert Oppenheimer in 1927, serving as the cornerstone for many modern chemical concepts. However, in the region where the potential energy surfaces of different electronic states are close or even degenerate, the coupling terms between these electronic states become important such that electronic and nuclear dynamics are highly correlated. In such a region, the Born-Oppenheimer approximation breaks down, giving rise tononradiative transitions between electronic states. The nonadiabatic processes play a key role in numerous important phenomena in chemical, biological, and materials systems, which include photocatalytic reactions, charge/energy transfer, photosynthesis, and photoelectric conversion.
In understanding various nonadiabatic processes, it is crucial to develop efficient nonadiabatic dynamics methods.The computational cost of exact (wavefunction) methods experiences an exponential increase with the growing size of the system. Due to “the curse of dimensionality”, trajectory-based approximate methods have emerged as the primary approaches for simulating nonadiabatic processes in realistic and complex molecular systems. Prevailing trajectory-based nonadiabatic dynamics methods fall into two major categories: one involves Ehrenfest (mean-field) dynamics, rooted in the spirit of the Ehrenfest theorem, and the other is surface hopping derived from the pioneering work of John Tully et al. from the 1970s to the 1990s. Despite their various successful applications, both categories meet inherent challenges. Ehrenfest dynamics methods fail to capture the branching of nuclear motion during the evolution from the coupling region to the asymptotic region of a scattering system. Surface hopping approaches are incompetent in describing dynamical processes where the state coupling region is broad in condensed phase systems, especially in the low-temperature regime.
Since the Ehrenfest couple first introduced the term “phase space” (“Phasenraum”), phase space formulations with coordinate-momentum variables have been developed as an exact interpretation of quantum mechanics for continuous-variable systems. More recently, the Jian Liu group has developed a generalized exact coordinate-momentum phase space formulation for composite systems, where discrete degrees of freedom (DOFs) are mapped onto the constraint coordinate-momentum phase space and continuous DOFs onto the infinite coordinate-momentum phase space. In the study of nonadiabatic systems, the conventional Wigner coordinate-momentum phase space is used for the continuous nuclear DOFs, and the constraint coordinate-momentum phase space of the discrete electronic DOFs is determined by the physical condition that the sum of the population is equal to one, of which the mathematical structure is related to the complex Stiefel manifold. The generalized exact coordinate-momentum phase space formulation offers a framework for developing more self-consistent trajectory-based nonadiabatic dynamics methods that providemuch more faithful descriptions for electronic and nuclear dynamics. Some representative papers along the direction are:
The Journal of Chemical Physics, 2016, 145, 204105; http://dx.doi.org/10.1063/1.4967815
The Journal of Chemical Physics, 2019, 151, 024105; https://doi.org/10.1063/1.5108736
The Journal of Physical Chemistry Letters, 2021, 12, 2496–2501; https://pubs.acs.org/doi/full/10.1021/acs.jpclett.1c00232
The Journal of Physical Chemistry A, 2021, 125, 6845–6863; https://doi.org/10.1021/acs.jpca.1c04429
Accounts of Chemical Research, 2021, 54, 4215–4228; https://doi.org/10.1021/acs.accounts.1c00511
Wiley Interdisciplinary Reviews Computational Molecular Science, 2022, 12, e1619.https://doi.org/10.1002/wcms.1619
In this Perspective, the Jian Liu group has proposed NAF, which is conceptually different from conventional Ehrenfest dynamics and surface hopping methods. In NAF the nuclear force involves two components. The first component is the adiabatic force that comes from the gradient of the adiabatic potential energy surface of a single electronic state, and the second component is the nonadiabatic force contributed by the nonadiabatic coupling field. In the coupling region, NAF includes the nonadiabatic force term that intrinsically accounts for nonadiabatic transition processes. When the system evolves from the coupling region to the asymptotic region where the state-state coupling disappears, the nonadiabatic force term naturally vanishes and NAF dynamics is reduced to Born-Oppenheimer dynamics. NAF captures the correct pictures in both nonadiabatic and adiabatic domains.

Fig.2 Schematic diagram for NAF dynamics.
In addition to the equations of motionof the trajectory, the initial condition and the integral expression for evaluation of the physical property are two other key elements for a trajectory-based dynamics method. NAF utilizes the initial condition and the integral expression of the generalized exact coordinate-momentum phase space formulation. NAF demonstrates superior performance in numerical simulations of several typical important model systems, such as condensed phase dissipative systems, light-matter interaction models, and conical intersection models of molecules. NAF significantly outperforms the conventional Ehrenfest dynamics and surface hopping methods in describing both electronic and nuclear dynamics.
The strategies of NAF can be straightforwardly applied to Ehrenfest dynamics or fewest-switches surface hopping (FSSH) methods, resulting in NAF-Ehrenfest or FS-NAF. This consistently improves over either Ehrenfest dynamics or FSSH in the simulations of a few typical model systems.However, because the initial condition and the integral expression for evaluation of the physical property are less rigorous in either Ehrenfest dynamics or FSSH, the numerical performance of NAF-Ehrenfest or FS-NAF is much inferior to that of NAF on quantum phase space.

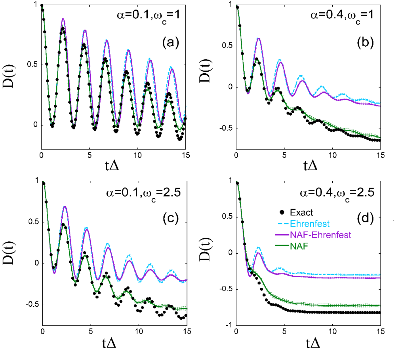
Fig. 3 Population difference between two states as a function of time for spin-boson models with Ohmic spectral density at low temperature (β=5). The coupling between the two states is Δ=1. The Kondo parameter α and the cut-off frequency ωc are (a): α=0.1, ωc=1; (b): α=0.4, ωc=1; (c): α= 0.1, ωc=2.5; and (d): α=0.4, ωc=2.5, respectively. Black points: Exact results of quantum mechanics; Cyan dashed lines: Ehrenfest dynamics; Purple solid lines: NAF-Ehrenfest (NAF strategies used in Ehrenfest dynamics); Green solid lines: NAF.

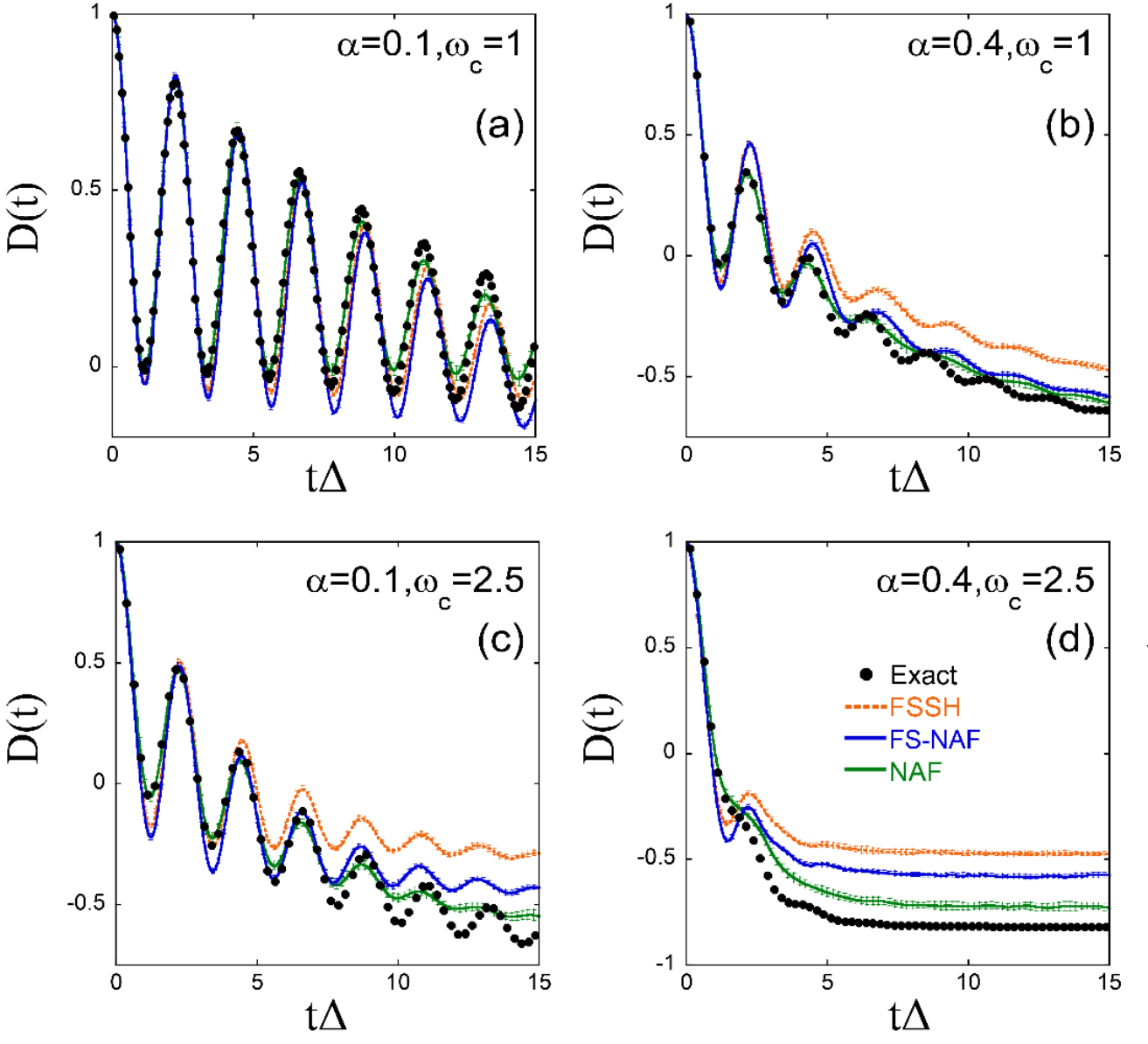
Fig. 4 Population difference between two states as a function of time for spin-boson models with Ohmic spectral density at low temperature (β=5)."The coupling between the two states is Δ=1. The Kondo parameter α and the cut-off frequency ωc are (a): α=0.1, ωc=1; (b): α=0.4, ωc=1; (c): α= 0.1, ωc=2.5; and (d): α=0.4, ωc=2.5, respectively. Black points: Exact results of quantum mechanics; Orange dashed lines: fewest-switches surface hopping (FSSH); Blue solid lines: FS-NAF (NAF strategies used in FSSH); Green solid lines: NAF.

Fig. 5 Population dynamics of the two-state atom-in-cavity model. Black and red lines represent the populations of ground and excited atomic states, respectively, and the solid and dashed lines denote the exact results of quantum mechanics and the results yielded by trajectory-based methods, respectively. (a1): Ehrenfest dynamics; (a2): fewest-switches surface hopping; (a3): NAF-Ehrenfest (NAF strategies used in Ehrenfest dynamics); (a4): NAF.

Fig. 6 Results of the conical intersection model for Cr(CO)5 molecule. (a)-(c): Electronic population dynamics of each electronic state; (d): Nuclear coordinate dynamics. Black lines with black points: Exact result of quantum mechanics; Cyan dashed line: Ehrenfest dynamics; Orange dashed line: fewest-switches surface hopping; Purple solid line: NAF-Ehrenfest (NAF strategies used in Ehrenfest dynamics); Green solid line: NAF.
In comparison with mean-field dynamics and surface hopping methods, NAF is capable of depicting the correct correlation of electronic and nuclear dynamics in the nonadiabatic coupling region as well as in the asymptotic region. Based on the CPS formulation, NAF shows superior performance in numerical simulations of typical nonadiabatic systems. NAF, the conceptually innovative trajectory-based dynamics method, is expected to serve as a promising tool for exploring nonadiabatic transition processes in realistic molecular systems and to bring more insight intolight-driven chemical processes in complex systems.
Professor Jian Liu is the corresponding author of the Perspective, and two co-authors are Baihua Wu and Xin He, two fifth-year graduate students of CCME. This work was supported by the National Science Fund for Distinguished Young Scholars (Grant No. 22225304). Computing resources were provided by the High-Performance Computing Platform of Peking University, Beijing PARATERA Tech Co., Ltd., and Guangzhou Supercomputer Center.
Paper Information
“Nonadiabatic Field on Quantum Phase Space: A Century after Ehrenfest”
Baihua Wu, Xin He, Jian Liu*. The Journal of Physical Chemistry Letters. 2024, 15, 644−658