3003新葡官方网站

吕华课题组在蛋白质原位引发开环聚合研究中取得系列进展

 

中国·3003新葡(澳门有限公司)官方网站-OfficialWebsite

蛋白质-高分子偶联物是一类连接生物大分子与合成高分子的杂化分子,在药物、酶工程、可控自组装等领域有重要应用价值。这类分子的合成可以通过蛋白质与预先合成的高分子之间的化学键合得到(Grafting-to),也可以由蛋白质原位引发小分子单体聚合的方式制备(Grafting-from)。其中Grafting-from具有反应效率高,分离提纯方便等优势,但目前仅限于可在水中进行的自由基聚合,所制备的高分子不能生物降解。如何通过Grafting-from的方式高效制备蛋白质-可降解高分子偶联物是有待攻克的难题。吕华课题组长期致力于发展温和、高效、简便、精准的蛋白质-高分子偶联方法及其生物医药应用,近期他们在蛋白质原位引发开环聚合研究中取得系列进展。

 

进展1水加速效应促进蛋白质-聚脯氨酸偶联物的原位合成

 

聚脯氨酸是一种中性可水溶的聚氨基酸,由脯氨酸N-羧基环内酸酐(ProNCA)开环聚合得到,通常需要严格无水条件且耗时长达一周。吕华课题组意外地发现了ProNCA开环聚合中反常的水加速现象,在乙腈-水混合溶剂中以普通一级胺为引发剂即可实现可控聚合。聚合反应在305分钟内即可完成聚合度最高达到200。机理实验与密度泛函理论(DFT)计算共同表明水在聚合过程中扮演了质子梭的角色,帮助了决速步的质子转移过程,从而将反应能垒降低了7.1 kcal/mol显著加速了聚合反应进程。

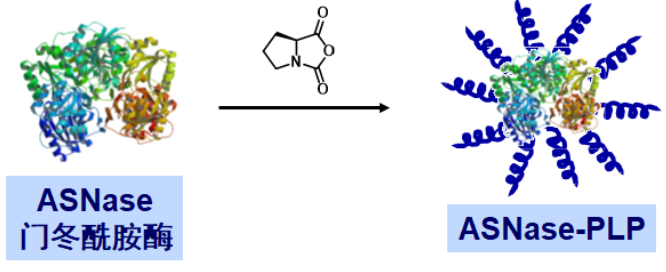
由于反应条件温和、操作简便、易于提纯,他们进一步利用蛋白质赖氨酸残基引发了ProNCA开环聚合,获得原位生长的蛋白质-聚脯氨酸偶联物。以药物蛋白门冬酰胺酶引发剂,该方法一步即可制备门冬酰胺酶-聚脯氨酸偶联物(图1该偶联物相较野生型蛋白可以增加其抵抗极端环境的能力、显著延长血液循环时间、提高体内肿瘤杀伤疗效并降低药物的免疫原性,展示了广阔的药用前景。由于脯氨酸是胶原蛋白中富含的氨基酸成分,而聚脯氨酸的PPII螺旋结构也类似胶原蛋白,未来聚脯氨酸及其共聚物还有望用于食品、医美、医疗器械等领域。

1. 蛋白质原位引发ProNCA聚合,制备门冬酰胺酶-聚脯氨酸偶联物

 

该工作发表于《国家科学评论》,3003新葡官方网站前沿交叉学院2021届博士生胡雅丽博士为论文第一作者,吕华教授为通讯作者。合作为3003新葡官方网站肿瘤医院宋玉琴教授。论文获得了科技部国家重点研发计划合成生物学专项、国家自然科学基金杰出青年科学基金北京分子科学国家研究中心等的资助。原文链接如下:https://doi.org/10.1093/nsr/nwac033

 

进展2:聚集诱导聚合效应助力蛋白质-聚二硫化物偶联物的原位合成

 

 

巯基引发 1,2-二硫戊烷开环聚合制备的聚二硫化物(PDS)是一类具有高度主链动态性、可逆性和特殊细胞膜穿透性的可降解高分子。由于1,2-硫戊烷开环聚合的热力学驱动力不足,在正常条件下极易发生逆向的闭环解聚反应,平衡单体浓度高,因此Grafting-from 的方式合成蛋白质-PDS 偶联物难度较大。此外,蛋白质活性与浓度低、而1,2-二硫戊烷聚合所需的高单体浓度易引发副反应和生物大分子的沉淀变性,这也增加了合成的难度吕华课题组前期以冷冻聚合的方式提高有效单体浓度制备了蛋白质-PDS偶联物 (J. Am. Chem. Soc. 2020, 142, 1217-1221) 但有些脆弱的蛋白难以反复冻融,因此仍需发展在0-37度间由蛋白原位引发低浓度1,2-二硫戊烷单体开环聚合的方法。

 

在最近发表于《美国化学会志》的一项工作中,他们延续以往提高单体有效浓度推动聚合反应进行这一思想,提出了聚集诱导聚合(aggregation-induced polymerization) 的概念。他们发现一些两亲性的1,2-二硫戊烷单体的聚合行为具有溶剂依赖性在水中发生聚合的最低浓度远低于其在有机相中的最低反应浓度,差别可达80倍。在排除了溶剂的介电常数与极性等效应以后,通过对单体的液相透射电镜表征以及聚合反应热力学/动力学的细致研究,他们发现这些单体在水中以纳米尺寸的松散聚集体形式存在,从而使得单体的有效浓度接近本体,而聚合反应也相应具有类似本体聚合的特征。利用这一现象,他们实现了蛋白质在室温下原位引发低浓度1,2-二硫戊烷单体的开环聚合,方便地制备了位点特异的蛋白质-PDS偶联物(图2)。所得偶联物不仅可以保护目标蛋白抵御高温、蛋白酶消化以及反复冻融所带来的蛋白质降解或失活变性,利用p(LPA-OEG5)-蛋白偶联物的温敏性与还原响应性,他们还开发了一种简单、经济、快速的分离纯化含活性巯基蛋白的方法。

 

Abstract Image

2. 利用聚集现象提高单体有效浓度实现了蛋白质原位引发1,2-二硫戊烷的开环聚合,温和条件下制备可降解的蛋白质-聚二硫化物偶联物

 

 

3003新葡官方网站化学院2018级博士研究生鹿建华为论文第一作者,吕华教授为通讯作者;3003新葡官方网站化学院王欢研究员与美国康乃狄格大学林遥教授为论文合作者。论文获得了科技部国家重点研发计划合成生物学专项、国家自然科学基金杰出青年科学基金北京分子科学国家研究中心等的资助。原链接如下:https://pubs.acs.org/doi/full/10.1021/jacs.2c05997

 

教师ftp
在线办公
TOP