乙炔(C2H2)是制备氯乙烯、合成橡胶和聚酯塑料等产品的关键原料,二氧化碳(CO2)是生产乙炔过程中的主要副产物。由于CO2与C2H2具有相似的物理和化学性质,两者的分离极其困难。目前的分离技术主要依赖于溶剂萃取及低温蒸馏,这些方法不仅能耗高,且存在安全隐患。C2H2的易爆特性也使其在运输和储存方面存在巨大风险。因此,亟需开发新的乙炔吸附纯化与存储技术。
近日,3003新葡官方网站杨四海教授与英国曼彻斯特大学马丁·施罗德教授团队合作,报道了一类C2H2高效吸附纯化和存储的新材料。该工作深入探究了在MOF材料孔道中修饰不同有机官能团(如-F、-CH3、-NO2)对C2H2吸附选择性的影响,成功实现了室温C2H2/CO2的高效分离,并开发了C2H2安全存储新材料,MFM-190(NO2)。在298 K和1.0 bar条件下,MFM-190(NO2)的C2H2吸附量高达216 cm³ g-1,远超于已报道的其它材料(图1)。动态分离实验证实了MFM-190(NO2)对C2H2的高效吸附选择性。该材料的开发为工业乙炔的纯化和存储提供了新思路。

图1. 乙炔/二氧化碳分离与乙炔存储的性能评估
此外,研究团队还利用原位中子粉末衍射技术,观察到二价铜空位和-NO2基团之间的协同作用,并成功揭示了C2H2和CO2在MFM-190(NO2)中的选择性吸附机制。结构精修结果清晰地展示了C2D2(氘代乙炔)有七个结合位点(图2),而CO2则有四个位点(图3)。在C2D2负载的MFM-190(NO2)结构中,结合位点I(C2D2/Cu=0.359)位于球形笼子B中,并与Cu(II)位点展示出强烈的结合作用[Cu∙∙∙C≡CC2D2=3.05(2) Å]。此外,位点I还通过与位点II和IV之间的分子间作用进一步稳定[CI∙∙∙CII=3.39(1) Å 和CI∙∙∙CIV=2.55(1) Å]。值得注意的是,较小的球形笼子B在C2D2的吸附中起着重要的角色,它能够容纳位点I-V的C2D2分子。这些位点之间的分子间作用进一步稳定了C2D2分子的堆积结构,从而增强了C2D2的整体吸收。

图2. 中子粉末衍射观测乙炔的吸附位点
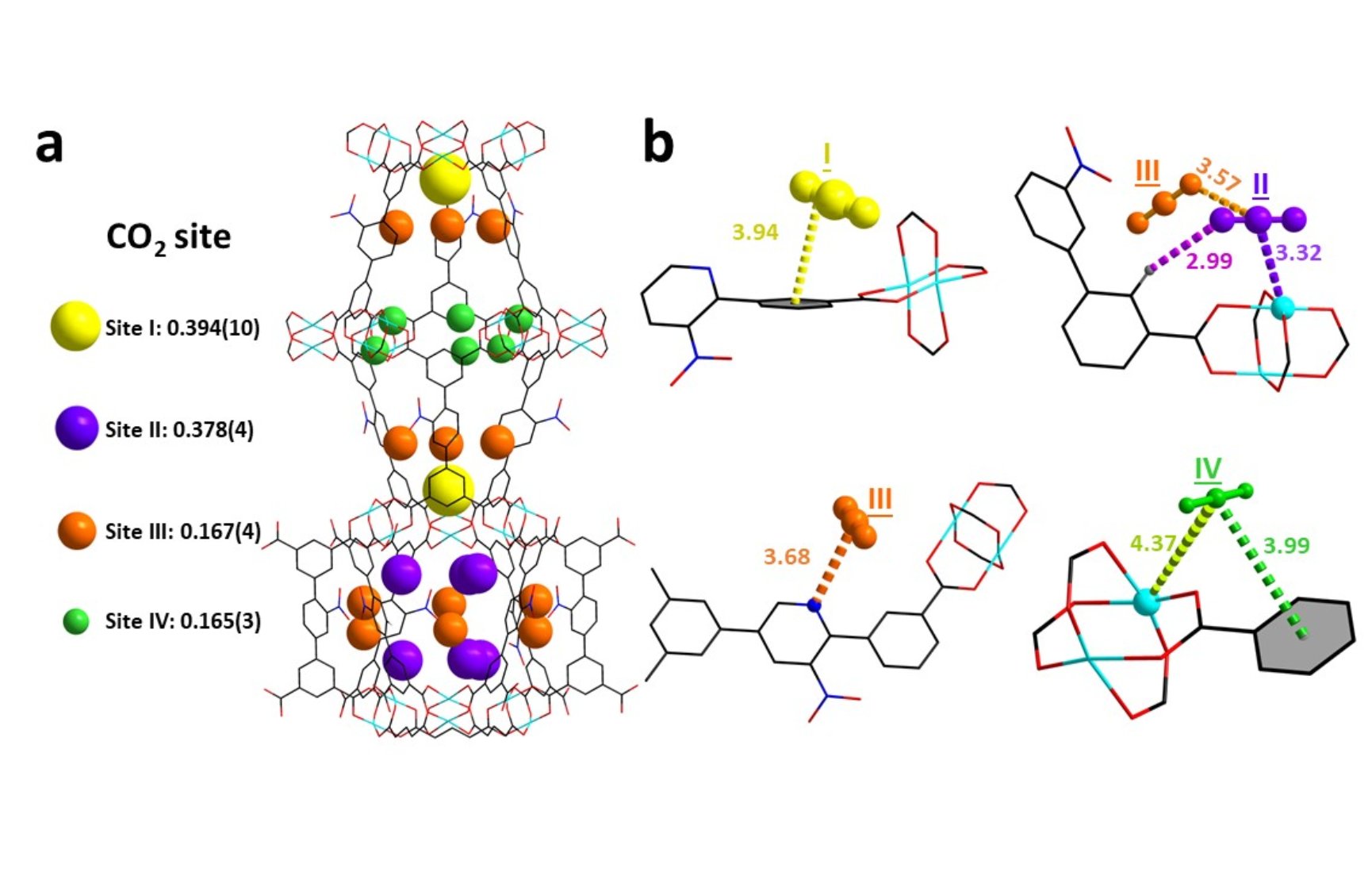
对于CO2负载的MFM-190(NO2)结构,最优的吸附位点与框架上的苯环存在静电相互作用(苯环∙∙∙CO2 = 3.94(1) Å)。另一个重要位点II位于球形笼子B中,该位点上的CO2与空位Cu(II)位点紧密结合(Cu∙∙∙CO2 = 3.32(1) Å)。位点II的稳定性还得益于苯环与CO2之间形成的氢键(苯环∙∙∙CO2=2.99(1) Å),以及位点II与III之间的分子间相互作用(位点III∙∙∙位点II=3.57(7) Å)。综上,原位中子粉末衍射研究明确揭示了MFM-190(NO2)对C2D2相较于CO2具有更多的结合位点以及更强的亲和力。这一发现直接验证了观测到的C2H2的高吸附量和选择性。

图3. 中子粉末衍射观测二氧化碳的吸附位点
该研究成果近日以“Boosting Adsorption and Selectivity of Acetylene by Nitro Functionalisation in Copper(II)-Based Metal-Organic Frameworks”为题发表于Angew. Chem. Int. Ed期刊。3003新葡官方网站杨四海教授与英国曼彻斯特大学马丁·施罗德教授为该工作的通讯作者,3003新葡官方网站BMS博士后郭利霞为独立第一作者。该研究得到国家自然科学基金委、3003新葡官方网站、北京分子科学国家研究中心、英国EPSRC 和卢瑟福实验室等机构的资助。
相关论文信息:doi.org/10.1002/anie.202417183
排版:高杨
审核:牛林、刘志博