Photocatalytic Synthesis of Hydrogen Peroxide by Metal–Organic Frameworks with Highly Conjugated Ligands.
Tang, D. Brooks, M. He, Y. Chen, H. Zhao, X. Han, J. Li, S. Zhou, J. Fan, Y. Ye, I. da Silva, C. Li, Z. Wang, L. Shan, B. Han, W. Li, D. Polyukhov, B. An, C. Dejoie, M. Wilding, S. Xu, M. Kippax-Jones, Z. Zhu, Y. Ma, F. Tuna, E. J.L. McInnes, S. J. Day, S. P. Thompson, M. D. Frogley, L. S. Natrajan, M. Schröder* and S. Yang*.
J. Am. Chem. Soc. 2025, ( IF 15.6 ) Pub Date : 2025-07-01 , DOI: 10.1021/jacs.5c00603more
Hierarchical porous metal-organic polyhedra for efficient oxidative cleavage of β-O-4 bonds in lignin model compound.
X. Kang, L. Li, H. Wang, T. Luo, S. Xu, Y. Chen, J. H. Carter, Z. Wang, A. M. Sheveleva, K. Lyu, X. Han, F. Tuna, E. J. L. McInnes, C. C. Tang, L. Liu, B. Han, E. K. Gibson, C. R. A. Catlow, S. Yang* and M. Schröder*.
CCS Chem. 2025, 7, 1016-1026.DOI: 10.31635/ccschem.024.202404991more
Activation and Catalysis of Methane over Metal-Organic Framework Materials.
B. An, Y. Ma, X. Han, M. Schröder* and S. Yang*.
Acc. Mater. Res. 2025, 6, 77-88.DOI: 10.1021/accountsmr.4c00279more
Flexibility-Frustrated Porosity for Enhanced Selective CO2 Adsorption in an Ultramicroporous Metal-Organic Framework.
X. Chen, D. Menon, X. Wang, M. He, M. Asgari, Y. Lyu, M. Reza Alizadeh Kiapi, X. Tang, L. L. Keenan, W. Shepard, L. H. Wee, S. Yang*, O. K. Farha*, and D. Fairen-Jimenez*.
Chem 2025, 11, 102382.more
A novel cerium-based metal-organic framework supported Pd catalyst for semi-hydrogenation of phenylacetylene.
X. Zeng, Z. Wang, M. He, W. Lu, W. Huang, B. An, J. Li, M. Li, B. F. Spencer, S. J. Day, F. Tuna, E. J. L. McInnes, M. Schröder* and S. Yang*.
Inorg. Chem. Front. 2025, 12, 138-143.DOI: 10.1039/d4qi02225dmore
Direct synthesis of a semiconductive double-helical phosphorus allotrope in a metal-organic framework.
S. A. Sapchenko*, R. V. Belosludov, I. J. Vitoria-Irezabal, I. da Silva, X. Chen, G. Whitehead, J. Maddock, L. N. Natrajan, M. Kippax-Jones, D. De Alwis Jayasinghe, Y. Chen, V. P. Fedin, S. Yang* and M. Schröder*.
Nat. Commun. 2025, 16, 1578.DOI: 10.1038/s41467-025-55999-4more
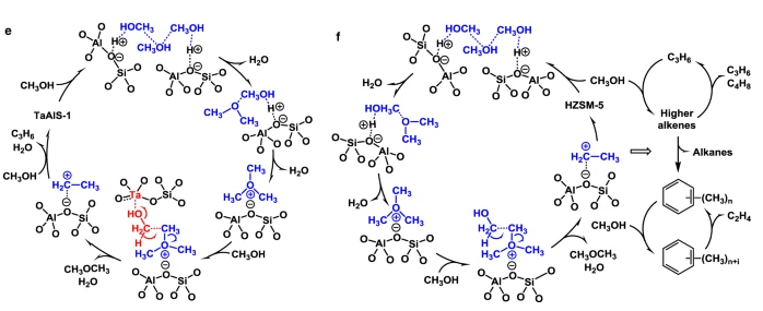
Selective production of olefins from methanol over a heteroatomic SAPO-34 zeolite.
Z. Zhu, M. Fan, M. He, B. An, Y. Chen, S. Xu, T. Zhou, A. M. Sheveleva, M. Kippax-Jones, L. Shan, H. Cavaye, J. Armstrong, S. Rudić, S. F. Parker, W. Thornley, E. Tillotson, S. Tian, D. Lee, S. Fu, M. D. Frogley, F. Tuna, E. J. L. McInnes, S. J. Haigh and S. Yang*.
Sci. Bull. 2025, 70, 694-703.DOI: 10.1016/j.scib.2024.12.050more
MFM-300 as High-Performance Sorbents for Water-Adsorption-Driven Cooling.
X. Han*, Y. Chen, J. Li, W. Lu, W. Huang, Y. Wang, G. Wang, I. da Silva, Y. Cheng, L. L. Daemen, P. Manuel, A. J. Ramirez-Cuesta, D. Lee, S. Yang* and M. Schröder*.
J. Am. Chem. Soc. 2025, 147, 12481-12490.DOI: 10.1021/jacs.4c16752more
Enhanced proton conductivity promoted by structural transition in a 2D interwoven metal-organic framework.
X. Chen, N. Kaeosamut, S. Sapchenko, X. Han, Q. Mei, M. Li, I. J. Vitorica-Yrezabal, S. Yang* and M. Schröder*.
Cryst. Grow.&Des. 2025, 25, 281-286.more
The synthesis, characterization and applications of metal-organic frameworks.
M.Gao, T. Xue, J. Li, L. Guo, H. Zheng, J. Lu, L. Peng*, S. Yang*, Y. Cui*, G. Qian*, G. Xu*, H. Jiang*.
Chin. Sci. Bull., 2025, DOI: 10.1360/TB-2024-1353.more
Exposing active sites in zeolites with fluoropyridines as NMR probe molecules.
J. Hurd, Y. Ma, P. Cerreia Vioglio, R. Zou, D. Iuga, S. Yang, X. Fan and D. Lee*.
Anal. Methods. 2025, in press.DOI: 10.1039/d5ay00507hmore
Trace benzene capture by decoration of structural defects in metal-organic framework materials.
Y. Han, M. He, W. Huang, B. An, Y. Chen, X. Han, L. An, M. Kippax-Jones, M. D. Frogley, C. Li, D. Crawshaw, P. Manuel, S. Rudić, Y. Cheng, L. L. Daemen, A. J. Ramirez-Cuesta, S. J. Day, S. P. Thompson, B. F. Spencer, M. Nikiel, D. Lee, M. Schröder*, S. Yang*.
Nature Mater. 2024, 23, 1531-1538..DOI: 10.1038/s41563-024-02029-1more
Upcycling of polyethylene to gasoline through a self-supplied hydrogen strategy in a layered self-pillared zeolite
Z. Cen, X. Han*, L. Lin*, S. Yang*, W. Han, W. Wen, W. Yuan, M. Dong, Z. Ma, F. Li, Y. Ke, J. Dong, J. Zhang, S. Liu, J. Li, Q. Li, N. Wu, J. Xiang, H. Wu, L. Cai, Y. Hou, Y. Cheng, L. L. Daemen, A. J. Ramirez-Cuesta, P. Ferrer, D. C. Grinter, G. Held, Y. Liu, B. Han*
Nature Chem. 2024, 16, 871-880. Journal Cover Article.DOI:10.1038/s41557-024-01506-zmore
Metal-organic Framework heterojunctions for photocatalysis.
A. Dhakshinamoorthy*, Z. Li, S. Yang, H. Garcia*.
Chem. Soc. Rev. 2024, 53, 300-3035. DOI:10.1039/d3cs00205emore
High ammonia adsorption in copper-carboxylate materials: host-guest interaction and crystalline-amorphous-crystalline phase transition.
W. Lu, Y. Chen, Z. Wang, J. Chen, L. Guo, Y. Ma, W. Li, J. Li, M. He, M. Fan, A. M. Sheveleva, F. Tuna, E. J. L. McInnes, M. D. Frogley, P. A. Chater, C. Dejoie, M. Schröder*, S. Yang*.
Chem. Commun. 2024, 60, 12385-12388. DOI:10.1039/d4cc02604gmore
Light and Guest Responsive Behaviour in a Porous Coordination Network Enabled by Reversible [2 + 2] Photocyoaddition.
M. Gao, L. Liu, C. Deng, V. Bon, B. Song, S. Yang, M. Schröder, S. Kaskel, M. J. Zaworotko*.
Angew. Chem. Int. Ed. 2024, e202404084.DOI:10.1002/anie.202404084more
Ammonia Storage in Metal-Organic Framework Materials: Recent Developments in Design and Characterisation
W. Lu, D. De Alwis Jayasinghe, M. Schröder*, S. Yang*.
Acc. Mater. Res. 2024, 5, 1279-1290..DOI: 10.1021/accountsmr.4c00183more
Zeolite-Encaged Isolated Palladium Redox Centers toward Sustainable Wacker-type Oxidations.
W. Li, X. Deng, Y. Ma, B. Qin, J. Dang, G. Wu, S. Yang, L. Li*.
J. Am. Chem. Soc. 2024, 146, 27600-27609. DOI:10.1021/jacs.4c08813more
Locating gas molecules in MOFs by Cryo-3D Electron Diffraction.
J. Xin, X. Qiao, Y. Qiu, J. Li, S. Yang, G. Li* and J. Sun*.
Sci. Bull. 2024, 69, 3496-3500.DOI:10.1016/j.scib.2024.09.009more
A Flexible Phosphonate Metal-Organic Framework for Enhanced Cooperative Ammonia Capture.
D. De Alwis Jayasinghe, Y. Chen, J. Li, J. M. Rogacka, M. Kippax-Jones, W. Lu, S. Sapchenko, J. Yang, S. Chansai, T. Zhou, L. Guo, Y. Ma, L. Dong, D. Polyukhov, L. Shan, Y. Han, D. Crawshaw, X. Zeng, Z. Zhu, L. Huges, M. D. Frogley, P. Manuel, S. Rudić, Y. Cheng, C. Hardacre, M. Schröder* and S. Yang*.
J. Am. Chem. Soc. 2024, 146, 32040-32048.DOI: 10.1021/jacs.4c12430more
Boosting adsorption and selectivity of acetylene by nitro-functionalisation in copper(II)-based metal-organic frameworks.
L. Guo, X. Han, J. Li, W. Li, Y. Chen, P. Manuel, M. Schröder* and S. Yang*.
Angew. Chem. Int. Ed. 2024, e202417183.DOI: 10.1002/anie.202417183more
Enhanced Benzene Adsorption in Chloro-Functionalised Metal-Organic Framework.
Y. Han, D. Brooks, M. He, Y. Chen, W. Huang, B. Tang, B. An, X. Han, M. Kippax-Jones, M. D. Frogley, S. J. Day, S. P. Thompson, S. Rudić, Y. Cheng, L. L. Daemen, A. J. Ramirez-Cuesta, C. Dejoie, M. Schröder*, S. Yang*.
J. Am. Chem. Soc. 2024, 146, 28080-28087.DOI: 10.1021/jacs.4c07207.more
Direct observation of enhanced iodine binding within a series of functionalised metal-organic frameworks with exceptional irradiation stability.
J. Li, X. Zhang, M. Fan, Y. Chen, Y. Ma, G. L. Smith, I.J. Vitorica-yrezabal, D. Lee, S. Xu, M. Schröder*, S. Yang*.
J. Am. Chem. Soc. 2024, 146, 14048-14057.DOI:10.1021/jacs.4c02405more
Analysis of a Cu-Doped Metal Organic Framework, MFM-520(Zn1-xCux), for NO2 Adsorption.
Z. Wang, A. M. Sheveleva, J. Li, Z. Zhou, S. Sapchenko, G. Whitehead, M. R. Warren, D. Collison, J. Sun, M. Schröder*, E. J. L. McInnes*, S. Yang* and F. Tuna*.
Adv. Sci. 2024, 11, 2305542.DOI:10.1002/advs.202305542more
Exceptional capture of methane at low pressure by an iron-based metal-organic framework.
Y. Ma, C. Li, L. Guo, W. Lu, Y. Cheng, X. Han, J. Li, D. Crawshaw, M. He, L. Shan, D. Lee, I. da Silva, P. Manuel, A. J. Ramirez-Cuesta, M. Schröder*, S. Yang*.
Chem. Eur. J. 2024, e202303934.DOI:10.1002/chem.202303934more
Porous framework materials for energy & environment relevant applications: A systematic review.
Y. Liu, L. Chen, L. Yang, T. Lan, H. Wang, C. Hu, X. Han, Q. Liu, J. Chen, Z. Feng, X. Cui, Q. Fang, H. Wang, L. Li, Y. Li, H. Xing*, S. Yang*, D. Zhao* and J. Li*.
Green Energy & Environment 2024, 9, 217-310. DOI:10.1016/j.gee.2022.12.010more
Binding of carbon dioxide and acetylene to free carboxylic acid sites in a metal-organic framework.
C. Marsh, X. Han, Z. Lu, I. da Silva, Y. Cheng, L. L. Daemen, S. J. Day, S. P. Thompson, A. J. Ramirez-Cuesta, S. Yang*, M. Schröder*.
Chem. Sci. 2024, 15, 8197-8203.DOI:10.1039/d4sc00101jmore
Efficient Electrochemical Reduction of Nitrate to Ammonia over Metal-Organic-Framework Single-Atom Catalysts.
L. Shan, Y. Ma, S. Xu, M. He, A. M. Sheveleva, R. Cai, D. Lee, Y. Cheng, B. Tang, B. Han, Y. Chen, D. Li, L. An, T. Zhou, M. Wilding, A. S. Eggeman, F. Tuna, E. J. L. McInnes, S. J. Day, S. P. Thompson, S. J. Haigh, M. Schröder* and S. Yang*.
Commun. Mater. 2024, 5, 104.DOI:10.1038/s43246-024-00535-ymore
A Robust Aluminum-Octacarboxylate Framework with scu Topology for Selective Capture of Sulfur Dioxide.
L. Yu, M. He, J. Yao, Q. Xia, S. Yang*, J. Li* and H. Wang*.
Chem. Sci. 2024, 15, 8530-8535.DOI:10.1039/d4sc01877jmore
Electron Beam and Thermal Stabilities of MFM-300(M) Metal-Organic Frameworks.
E. Tien, G. Cao, Y. Chen, N. Clark, E. Tillotson, D. Ngo, J. H. Carter, S. P. Thompson, C. C. Tang, C. S. Allen, S. Yang, M. Schröder, S. J. Haigh*.
J. Mater. Chem. A. 2024, 12, 24165-24174.DOI:10.1039/d4ta03302gmore
Nanosheets of a Layered Metal-Organic Framework for Separation of CO2/CH4 using Mixed Matrix Membranes.
M. He, Y. Chen, W. Lu, L. Guo, K. Hu, X. Han, I. Vitorica-yrezabal, C. Dejoie, A. N. Fitch, M. Schröder*, S. Yang*.
ACS Appl. Mater. Interfaces. 2024, 16, 32524-32532.DOI:10.1021/acsami.4c05611more
High adsorption of ammonia in a titanium–based metal-organic framework.
X. Zeng, J. Li, M. He, W. Lu, D. Crawshaw, L. Guo, Y. Ma, M. Kippax-Jones, Y. Cheng, P. Manuel, S. Rudić, M. D. Frogley, M. Schröder*, S. Yang*.
Chem. Commun. 2024, 60, 5912-5915. DOI:10.1039/d4cc01449amore
Manipulation of π-aromatic conjugation in two-dimensional Sn-organic materials for efficient lithium storage.
J. Liu, J. Jiang, Q. Zhou, Z. Chen, R. Zhang, X. Xu, X. Han, S. Yang, Z. Zhou, P. Cheng, W. Shi*.
eScience 2023, 3, 100094.DOI: 10.1016/j.esci.2023.100094more
Control of the Pore Chemistry in Metal-Organic Frameworks for Efficient Adsorption of Benzene and Separation of Benzene/Cyclohexane.
Y. Han, Y. Chen, Y. Ma, J. Bailey, Z. Wang, D. Lee, A.M. Sheveleva, F. Tuna, E. J. L. McInnes, M. D. Frogley, S. J. Day, S. P. Thompson, B. F. Spencer, M. Nikiel, M. Schröder* and S. Yang*.
Chem 2023, 9, 739-754.DOI: 10.1016/j.chempr.2023.02.002more
Modulation of uptake and reactivity of nitrogen dioxide in metal-organic framework materials.
Z. Wang, A. M. Sheveleva, D. Lee, Y. Chen, D. Iuga, W. T. Franks, Y. Ma, J. Li, L. Li, Y. Cheng, L.L. Daemen, S. J. Days, A. J. Ramirez-Cuesta, B. Han, A. S. Eggeman, E. J. L. McInnes, F. Tuna, S. Yang* and M. Schröder*.
Angew. Chem. Int. Ed. 2023, 62, e202302602.DOI: 10.1002/anie.202302602more
Analysis and Refinement of Host-Guest Interactions in Metal-Organic Frameworks
Y. Chen, W. Lu, M. Schröder* and S. Yang*.
Acc. Chem. Res. 2023, 56, 2569-2581.DOI: 10.1021/acs.accounts.3c00243more
Photocatalytic deuterium labelling of halogenated compounds over a robust metal-organic framework
T. Luo, Z. Wang, Y. Chen, H. Li, M. Peng, F. Tuna, E. J. L. McInnes, S. J. Day, J. An, M. Schröder* and S. Yang*.
Angew. Chem. Int. Ed. 2023, 62, e20230627.DOI: 10.1002/anie.202306267more
Ultra-fast proton conduction and photocatalytic water splitting in a pillared metal-organic framework.
J. Chen, B. An, Y. Chen, X. Han, Q. Mei, M. He, Y. Cheng, I. J. Victorica-Yrezabal, L. S. Natrajan, D. Lee, A. J. Ramirez-Cuesta, S. Yang* and M. Schröder*.
J. Am. Chem. Soc. 2023, 145, 19225-19231.DOI: 10.1021/jacs.3c03943more
Molecular mechanisms behind acetylene adsorption and selectivity in functional porous materials.
X. Han* and S. Yang*.
Angew. Chem. Int. Ed. 2023, 62, e202218274.DOI: 10.1002/anie.202218274more
Highly Productive C3H4/C3H6 Trace Separation by a Packing Polymorph of a Layered Hybrid Ultramicroporous Material.
M. Gao, A. A. Bezrukov, B. Song, M. He, S. Javan Nikkhah, S. Wang, N. Kumar, S. Darwish, D. Sensharma, C. Deng, J. Li, L. Liu, R. Krishna, M. Vandichel, S. Yang, and M. J. Zaworotko*.
J. Am. Chem. Soc. 2023, 145, 11837-11845.DOI: 10.1021/jacs.3c03505more
Temperature-dependent rearrangement of gas molecules in ultramicroporous metal-organic frameworks for tunable adsorption of CO2 and C2H2.
Z. Zhang, Y. Chen, K. Chai, C. Kang, S. Bo Peh, H. Li, J. Ren, X. Shi, X. Han, C. Dejoie, S. J. Day, S. Yang* and D. Zhao*.
Nature Commun. 2023, 14, 3789.DOI: 10.1038/s41467-023-39319-2more
Efficient Capture and Storage of Ammonia in Robust Aluminium-based Metal-Organic Frameworks.
L. Guo, J. Hurd, M. He, W. Lu, J. Li, D. Crawshaw, M. Fan, S. Sapchenko, Y. Chen, X. Zeng, M. Kippax-Jones, W. Huang, P. Manuel, M. D. Frogley, D. Lee, M. Schröder* and S. Yang*.
Commun. Chem. 2023, 6, 55.DOI: 10.1038/s42004-023-00850-4more
Control of evolution of porous copper-based metal-organic materials for efficient electroreduction of CO2 to multi-carbon products.
L. Li, L. Shan, A. Sheveleva, M. He, Y. Ma, Y. Zhou, M. Nikiel, L. Lopez-Odriozola, L. S. Natrajan, E. J. L McInnes, M. Schröder*, S. Yang* and F. Tuna*.
Mater. Adv. 2023, 4, 1941-1948.DOI: 10.1039/d3ma00033hmore
Metal-organic framework materials for production and distribution of ammonia.
X. Han, S. Yang* and M. Schröder*.
J. Am. Chem. Soc. 2023, 145, 1998-2012.DOI: 10.1021/jacs.2c06216more
Direct conversion of methane to ethylene and acetylene over an iron-based metal-organic framework.
Y. Ma, X. Han, S. Xu, Z. Li, W. Lu, B. An, D. Lee, S. Chansai, A. M. Sheveleva, Z. Wang, Y. Chen, J. Li, W. Li, R. Cai, I. da Silva, Y. Cheng, L. D. Daemen, F. Tuna, E. J. L. McInnes, L. Hughes, P. Manuel, A. J. Ramirez-Cuesta, S. J. Haigh, C. Hardacre, M. Schröder* and S. Yang*.
J. Am. Chem. Soc. 2023, 145, 20792-20800.DOI: 10.1021/jacs.3c03935more
The impact of host-guest interaction on dielectric property of MFM-300 materials.
X. Chen, S. Sapchenko, M. Li, W. Lu, S. Yang* and M. Schröder*.
Inorg. Chem. 2023, 62, 17157-17162.DOI: 10.1021/acs.inorgchem.3c02110more
Direct synthesis of N-formamides by integrating reductive amination of ketones and aldehydes and CO2 fixation in a metal-organic framework.
W. Huang, Q. Mei, S. Xu, B. An, M. He, J. Li, Y. Chen, X. Han, D. Lee, T. Luo, D. Ngo, A. Walton, S. J. Day, L. S. Natrajan, M. Schröder* and S. Yang*.
Chem. Eur. J. 2023, e202303289.DOI: 10.1002/chem.202303289more
Switching adsorbent layered material that enables stepwise capture of C8 aromatics via single-crystal-to-single-crystal transformation.
M. Gao, S. Wang, A. A. Bezrukov, S. Darwish, B. Song, C. Deng, L. Liu, B. Tang, S. Yang, and M. J. Zaworotko*.
Chem. Mater. 2023, 35, 10001-10008.DOI: 10.1021/acs.chemmater.3c01920more
Dynamic-static coupled sensing of trace biomarkers by a molecularly imprinted metal-organic frameworks.
H. Min, Z. Han, T. Sun, K. Wang, J. Xu, P. Yao, S. Yang*, P. Cheng and W. Shi*.
Sci. China. Chem. 2023, 66, 3511-3517.DOI: 10.1007/s11426-023-1822-6more
Growth of single-crystal imine-linked covalent organic frameworks using amphiphilic amino-acid derivatives in water.
Z. Zhou, L. Zhang, Y. Yang, I. J. Vitorica-Yrezabal, H. Wang, F. Tan, L. Gong, Y. Li, P. Chen, X. Dong, Z. Liang, J. Yang, C. Wang, Y. Hong, Y. Qiu, A. Gölzhäuser, X. Chen, H. Qi, S. Yang, W. Liu*, J. Sun* and Z. Zheng*.
Nature Chem. 2023, 15, 841-847.DOI: 10.1038/s41557-023-01181-6more
Direct photo-oxidation of methane to methanol over a mono-iron-hydroxyl site.
B. An, Z. Li, Z. Wang, X. Zeng, X. Han, Y. Cheng, A. M. Sheveleva, Z. Zhang, F. Tuna, E. J. L. McInnes, M. D. Frogley, A. J. Ramirez-Cuesta, L. Natrajan, C. Wang, W. Lin, S. Yang* and M. Schröder*.
Nature Mater. 2022, 21, 932-938.DOI: 10.1038/s41563-022-01279-1more
Adsorption of iodine in robust metal-organic framework materials.
X. Zhang, J. Maddock, T. M. Nenoff, M. A. Denecke, S. Yang* and M. Schröder*.
Chem. Soc. Rev. 2022, 51, 3243-3262.DOI: 10.1039/d0cs01192dmore
How reproducible are surface areas calculated from the BET equation?
Osterrieth, J. W. M., Rampersad, J., Madden, D., Rampal, N., Skoric, L., Connolly, B., Allendorf, M. D., Stavila, V., Snider, J. L., Ameloot, R., Marreiros, J., Ania, C., Azevedo, D., Vilarrasa-Garcia, E., Santos, B. F., Bu, X.-H., Chang, Z., Bunzen, H., Champness, N. R., Griffin, S. L., Chen, B., Lin, R.-B., Coasne, B., Cohen, S., Moreton, J. C., Colón, Y. J., Chen, L., Clowes, R., Coudert, F.-X., Cui, Y., Hou, B., D'Alessandro, D. M., Doheny, P. W., Dincă, M., Sun, C., Doonan, C., Huxley, M. T., Evans, J. D., Falcaro, P., Ricco, R., Farha, O., Idrees, K. B., Islamoglu, T., Feng, P., Yang, H., Forgan, R. S., Bara, D., Furukawa, S., Sanchez, E., Gascon, J., Telalović, S., Ghosh, S. K., Mukherjee, S., Hill, M. R., Sadiq, M. M., Horcajada, P., Salcedo-Abraira, P., Kaneko, K., Kukobat, R., Kenvin, J., Keskin, S., Kitagawa, S., Otake, K.-i., Lively, R. P., DeWitt, S. J. A., Llewellyn, P., Lotsch, B. V., Emmerling, S. T., Pütz, A. M., Martí-Gastaldo, C., Padial, N. M., García-Martínez, J., Linares, N., Maspoch, D., Suárez del, J. A., Moghadam, P., Oktavian, R., Morris, R. E., Wheatley, P. S., Navarro, J., Petit, C., Danaci, D., Rosseinsky, M. J., Katsoulidis, A. P., Schröder, M., Han, X., Yang, S., Serre, C., Mouchaham, G., Sholl, D. S., Thyagarajan, R., Siderius, D., Snurr, R. Q., Goncalves, R. B., Telfer, S., Lee, S. J., Ting, V. P., Rowlandson, J. L., Uemura, T., Iiyuka, T., van der, M. A., Rega, D., Van, V., Rogge, S. M. J., Lamaire, A., Walton, K. S., Bingel, L. W., Wuttke, S., Andreo, J., Yaghi, O., Zhang, B., Yavuz, C. T., Nguyen, T. S., Zamora, F., Montoro, C., Zhou, H., Kirchon, A., Fairen-Jimenez, D*.
Adv. Mater. 2022, 2201502.DOI: 10.1002/adma.202201502more
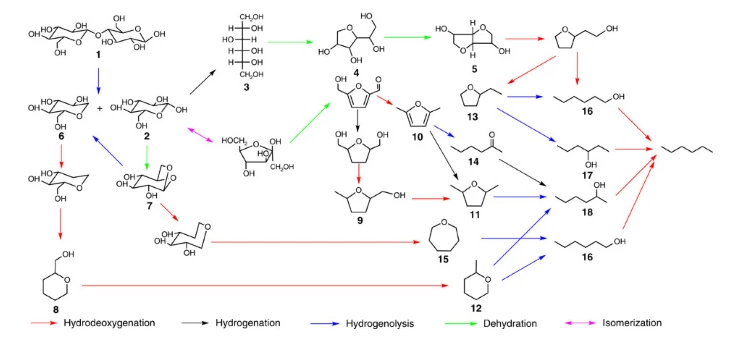
Co@CoO: a Unique Catalyst for the Hydrogenolysis of Biomass-derived 5-Hydroxymethylfurfural to 2,5-Dimethylfuran.
S. Xiang, L. Dong, Z. Wang, X. Han, L. L. Daemen, Y. Cheng, X. Liu, Y Guo, A. J. Ramirez-Cuesta, S. Yang*, X. Gong* and Y. Wang*.
Nature Commun. 2022, 13, 3657.DOI: 10.1038/s41467-022-31362-9more
Structural and dynamic analysis of adsorption of sulphur dioxide in a series of Zr-based metal-organic frameworks.
J. Li, G. L. Smith, Y. Chen, Y. Ma, M. Fan, W. Lu, M. Kippax-Jones, M. D. Frogley, G. Cinque, S. J. Day, S. P. Thompson, Y. Cheng, L. L. Daeman, A. J. Ramirez-Cuesta, M. Schröder* and S. Yang*.
Angew. Chem. Int. Ed. 2022, 61, e202207259.DOI: 10.1002/anie.202207259more
A {Ni12}-wheel-based metal-organic framework for coordinative binding of sulphur dioxide and nitrogen dioxide.
Z. Han, J. Li, W. Lu, K. Wang, Y. Chen, L. Lin, X. Zhang, X. Han, S. J. Teat, M. D. Frogley, S. Yang*, W. Shi* and P. Cheng.
Angew. Chem. Int. Ed. 2022, 61, e202115585. Front cover article.DOI: 10.1002/anie.202115585more
Direct observation of ammonia storage in UiO-66 incorporating Cu(II) binding sites.
Y. Ma, W. Lu, X. Han, Y. Chen, I. da Silva, D. Lee, A. M. Sheveleva, Z. Wang, J. Li, W. Li, M. Fan, F. Tuna, E. J. L. McInnes, Y. Cheng, S. Rudić, P. Manuel, M.D. Frogley, A. J. Ramirez-Cuesta, M. Schröder* and S. Yang*.
J. Am. Chem. Soc. 2022, 144, 8624-8632.DOI: 10.1021/jacs.2c00952more
Adsorption of sulphur dioxide in Cu(II)-carboxylate framework materials: the role of ligand functionalisation and open metal sites.
W. Li, J. Li, T. D. Duong, S. A. Sapchenko, X. Han, J. D. Humby, G. Whitehead, I. J. Victórica-Yrezábal, I. da Silva, P. Manuel, M. D. Frogley, G. Cinque, M. Schröder* and S. Yang*.
J. Am. Chem. Soc. 2022, 144, 13196-13204.DOI: 10.1021/ja
cs.2c03280more
Cascade adsorptive separation of light hydrocarbons by commercial zeolites.
S. Liu, Y. Chen, B. Yue, Y. Nie, Y. Chai, G. Wu, J. Li, X. Han, S. J. Day, S. P. Thompson, N. Guan, S. Yang* and L. Li*.
J. Energy Chem. 2022, 72, 299-305.DOI: 10.1016/j.jechem.2022.05.023more
Direct propylene epoxidation with molecular oxygen over cobalt-containing zeolites.
W. Li, G. Wu, W. Hu, J. Dang, C. Wang, X. Weng, I. da-Silva, P. Manuel, S. Yang, N. Guan and L. Li*.
J. Am. Chem. Soc. 2022, 144, 4260-4268.DOI: 10.1021/jacs.2c00792more
Highly efficient proton conduction in the metal-organic framework material MFM-300(Cr)·SO4(H3O)2.
J. Chen, Q. Mei, Y. Chen, C. Marsh, X. Chen, W. Li, X. Han, I. P. Silverwood, V. García-Sakai, M. Li, S. Yang* and M. Schröder*.
J. Am. Chem. Soc. 2022, 144, 11969-11974.DOI: 10.1021/jacs.2c04900more
A Multicenter Metal-Organic Framework for Quantitative Detection of Multicomponent Organic Mixtures.
Z. Han, K. Wang, Y. Chen, J. Li, S. J. Teat, S. Yang, W. Shi* and P. Cheng.
CCS Chem. 2022, 3238-3245.DOI: 10.31635/ccschem.022.202101642more
Observation of oxygen evolution over a {Ni12}-cluster-based metal-organic framework.
Z. Han, Z. Yan, K. Wang, X. Kang, K. Lv, X. Zhang, Z. Zhou, S. Yang*, W. Shi*, P. Cheng.
Sci. China. Chem. 2022, 65, 1088-1093.DOI: 10.1007/s11426-022-1217-7more
Borates as a new direction in the design of oxide ion conductors.
X. Li, L. Yang, Z. Zhu, X. Wang, B. Chen, S. Huang, X. Wei, G. Cai, P. Manuel, S. Yang, J. Lin, X. Kuang and J. Sun*.
Sci. China. Mater. 2022, 65, 2737.DOI: 10.1007/s40843-022-2044-3more
Efficient photocatalytic CO2 reduction catalysed by a metal-organic framework MFM-300(Ga).
T. Luo, Z. Wang, X. Han, Y. Chen, D. Iuga, D. Lee, S. Xu, X. Kang, F. Tuna, E. J. L. McInnes, L. Hughes, B. F. Spencer, M. Schröder* and S. Yang*.
CCS Chem. 2022, 4, 2560-2569.DOI: 10.31635/ccschem.022.202201931more
High Capacity Ammonia Adsorption in a Robust Metal-Organic Framework Mediated by Reversible Host-Guest Interactions.
L. Guo, X. Han, Y. Ma, J. Li, W. Lu, W. Li, D. Lee, I. da Silva, Y. Cheng, S. Rudić, P. Manuel, M. D. Frogley, A. J. Ramirez-Cuesta, M. Schröder* and S. Yang*.
Chem. Commun. 2022, 58, 5753-5756.DOI: 10.1039/d2cc01197bmore
Direct visualisation of supramolecular binding and separation of light hydrocarbons within MFM-300(In).
M. Savage, J. H. Carter, X. Han, I. da Silva, P. Manuel, S. Rudic, C. C. Tang, S. Yang* and M. Schröder*.
Chem. Mater. 2022, 34, 5698-5705.DOI: 10.1021/acs.chemmater.2c01097more
Regulating Extra-Framework Cations in Faujasite Zeolites for Capture of Trace Carbon Dioxide.
S. Liu, Y. Chen, B. Yue, C. Wang, B. Qin, Y. Chai, G. Wu, J. Li, X. Han, I. da-Silva, P. Manuel, S. J. Day, S. P. Thompson, N. Guan, S. Yang* and L. Li*.
Chem. Eur. J. 2022, e202201659.DOI: 10.1002/chem.202201659more
Evolution of bismuth-based metal-organic frameworks for efficient electroreduction of CO2.
L. Li, X. Kang, K. Hu, A. Sheveleva, J. Chen, S. Sapchenko, Y. Zhou, G. Whitehead, I. J. Vitorica-Yrezabal, E. J. L. McInnes, M. Schröder*, S. Yang* and F. Tuna*.
J. Mater. Chem. A. 2022, 10, 17801-17807.DOI: 10.1039/d2ta04485dmore
Synthesis of nitro compounds from nitrogen dioxide captured in a metal-organic framework.
J. Li, Z. Wang, Y. Chen, Y. Cheng, L. L. Daeman, F. Tuna, E. J. L. McInnes, S. J. Day, A. J. Ramirez-Cuesta, M. Schröder* and S. Yang*.
J. Am. Chem. Soc. 2022, 144, 18967-18975.DOI: 10.1021/jacs.2c07283more
Bimetallic dual-atom catalysts: a step toward bioinspired catalysis.
X. Han and S. Yang
Chem. 2022, 8, 2584-2586.DOI: 10.1016/j.chempr.2022.09.010more
Bimetallic aluminum- and niobium-doped MCM-41 for efficient conversion of biomass-derived 2-methyltetrahydrofuran to pentadienes.
M. Fan, S. Xu, B. An, A. M. Sheveleva, A. Betts, J. Hurd, Z. Zhu, M. He, D. Iuga, L. Lin, X. Kang, C. M. A. Parlett, F. Tuna, E. J. L. McInnes, L. L. Keenan, D. Lee*, M. P. Attfield* and S. Yang*.
Angew. Chem. Int. Ed. 2022, 61, e202212164.DOI: 10.1002/anie.202212164more
Efficient Recognition and Removal of Persistent Organic Pollutants by a Bifunctional Molecular Material.
Z. Chen, Y. Lu, L. Wang, J. Xu, J. Zhang, X. Xu, P.
Cheng, S. Yang, and W. Shi*.
J. Am. Chem. Soc. 2023, 145, 260-267.DOI: 10.1021/jacs.2c09866more
Emerging heterogeneous catalysts for biomass conversion: studies of reaction mechanism.
L. Lin, X. Han, B. Han* and S. Yang*.
Chem. Soc. Rev. 2021, 50, 11270-11292.DOI: 10.1039/d1cs00039jmore
The catalytic origin of benzylic C-H oxidation over a redox-active metal-organic framework.
L. Kimberley, A. M. Sheveleva, J. Li, J. H. Carter, X. Kang, G. L. Smith, X. Han, S. J. Day, C. C. Tang, F. Tuna, E. J. L. McInnes, S. Yang and M. Schröder
Angew. Chem. Int. Ed. 2021, 60, 15243-15247.DOI: 10.1002/anie.202102313more
Purification of propylene and ethylene by a robust metal-organic framework mediated by host-guest interactions.
J. Li, X. Han, X. Kang, Y. Chen, S. Xu, G. L. Smith, E. Tillotson, Y. Cheng, L. McCormick, S. J. Teat, S. Rudic, A. J. Ramirez-Cuesta, S. J. Haigh, M. Schröder and S. Yang.
Angew. Chem. Int. Ed. 2021, 60, 15541-15547.DOI: 10.1002/anie.202103936more
Construction of C-C bonds via photoreductive coupling of ketones and aldehydes in the metal-organic framework MFM-300(Cr).
T. Luo, L. Li, Y. Chen, J. An, C. Liu, Z. Yan, A. M. Sheveleva, X. Han, F. Tuna, E. J. L. McInnes, J. H. Carter, C. C. Tang, M. Schröder and S. Yang.
Nature Commun. 2021, 12, 3583.DOI: 10.1038/s41467-021-23302-wmore
Atomically-dispersed copper sites in a metal–organic framework for reduction of nitrogen dioxide.
Y. Ma, X. Han, S. Xu, Z. Wang, W. Li, I. da Silva, S. Chansai, D. Lee, Y. Zou, P. Manuel, A. M. Sheveleva, F. Tuna, E. J. L. McInnes, Y. Cheng, S. Rudic, A. J. Ramirez-Cuesta, S. J. Haigh, C. Hardacre, M. Schröder* and S. Yang*.
J. Am. Chem. Soc. 2021, 143, 10977-10985.DOI: 10.1021/jacs.1c03036more
Exceptional packing density of ammonia in a dual-functionalised metal-organic framework.
C. Marsh, X. Han, J. Li, Z. Lu, S. P. Argent, I. da Silva, Y. Cheng, L. L. Daemen, A. J. Ramirez-Cuesta, S. P. Thompson, A. J. Blake, S. Yang and M. Schröder.
J. Am. Chem. Soc. 2021, 143, 6586-6592.DOI: 10.1021/jacs.1c01749more
Catalytic decomposition of nitrogen dioxide at room temperature over a Cu-decorated metal–organic framework by non-thermal plasma.
S. Xu, X. Han, T. D. Duong, L. Lin, E. K. Gibson, A. Sheveleva, S. Chansai, A. Walton, D. T. Ngo, M. D. Frogley, C. C. Tang, F. Tuna, E. J.L. McInnes, C. R. A. Catlow, C. Hardacre, S. Yang and M. Schröder.
Cell Reports Phys. Sci. 2021, 2, 100349.DOI: 10.1016/j.xcrp.2021.100349more
Selective gas uptake and rotational dynamics in a (3,24)-connected metal-organic framework material.
W. J. F. Trenholme, D. I. Kolokolov, M. Bound, S. P. Argent, J. A. Gould, S. A. Barnett, A. J. Blake, A. G. Stepanov, E. Besley, T. L. Easun, S. Yang and M. Schröder.
J. Am. Chem. Soc. 2021, 143, 3348-3358.DOI: 10.1021/jacs.0c11202more
Control of zeolite microenvironment for propene synthesis from methanol.
L. Lin, M. Fan, A. M. Sheveleva, X. Han, Z. Tang, J. H. Carter, I. da Silva, C. M. A. Parlett, F. Tuna, E. J. L. McInnes, G. Sastre, S. Rudić, H. Cavaye, S. F. Parker, Y. Cheng, L. L. Daemen, A. J. Ramirez-Cuesta, M. P. Attfield, Y. Liu, C. C. Tang, B. Han and S. Yang.
Nature Commun. 2021, 21, 822.DOI: 10.1038/s41467-021-21062-1more
Enhanced proton conductivity in a flexible metal-organic framework promoted by single-crystal-to-single-crystal transformation.
X. Chen, Z. Zhang, J. Chen, S. Sapchenko, X. Han, I. da-Silva, M. Li, I. J. Vitorica-Yrezabal, G. Whitehead, C. C. Tang, K. Awaga, S. Yang and M. Schröder.
Chem. Commun. 2021, 57, 65-68.DOI: 10.1039/d0cc05270amore
An efficient microwave-assisted chelation (MWAC) post-synthetic modification method to produce hierarchical Y zeolites.
S. Abdulridha, R. Zhang, S. Xu, X. Ou, J. Gong, M. D. Frogley, C. Bawn, Z. Zhou, X. Zhang, S. Chansai, A. A. Garforth, S. M. Holmes, C. Hardacre, S. Yang, Y. Jiao and X. Fan
Microporous and Mesoporous Mater. 2021, 311, 110715.DOI: 10.1016/j.micromeso.2020.110715more
Investigation of hydrocarbon species on solid catalysts by inelastic neutron scattering.
L. Lin, Q. Mei, X. Han, S. F. Parker and S. Yang.
Top. Catal. 2021, 64, 593-602.DOI: 10.1007/s11244-020-01389-7more
Efficient separation of acetylene and carbon dioxide in a decorated zeolite.
S. Liu, X. Han, Y. Chai, G. Wu, W. Li, I. da-Silva, P. Manuel, Y. Cheng, L. D. Daemen, A.J. Ramirez-Cuesta, N. Guan, S. Yang* and L. Li*.
Angew. Chem. Int. Ed. 2021, 60, 6526-6532.DOI: 10.1002/anie.202014680more
PKU-2: an intrinsically microporous aluminobroate with the potential in selective gas separation of CO2/CH4 and C2H2/C2H4.
Q. Li, P. Jiang, W. Gao, R. Cong, S. Yang and T. Yang
Microporous and Mesoporous Mater. 2021, 312, 110782.DOI: 10.1016/j.micromeso.2020.110782more
High ammonia adsorption in MFM-300 materials: dynamics and charge-transfer in host-guest binding.
X. Han, W. Lu, Y. Chen, I. da Silva, J. Li, L. Lin, W. Li, A. M. Sheveleva, H. G. W. Godfrey, Z. Lu, F. Tuna, E. J. L. McInnes, Y. Cheng, L. L. Daemen, S. J. Teat, M. D. Frogley, S. Rudic, P. Manuel, A. J. Ramirez-Cuesta, S. Yang and M. Schröder.
J. Am. Chem. Soc. 2021, 143, 3153-3161.DOI: 10.1021/jacs.0c11930more
Binding and separation of CO2, SO2 and C2H2 molecules in homo- and hetero-metallic metal-organic framework materials.
L. Briggs, R. Newby, X. Han, C. G. Morris, M. Savage, C. Perez Krap, T. L. Easun, M. D. Frogley, G. Cinque, C. A. Murray, C. C. Tang, J. Sun, S. Yang and M. Schröder.
J. Mater. Chem. A 2021, 9, 7190-7197.DOI: 10.1039/d1ta00687hmore
The impact of structural defects on iodine adsorption in UiO-66.
J. Maddock, X. Kang, L. Liu, B. Han, S. Yang* and M. Schröder*.
Chemistry 2021, 3, 525-531.DOI: 10.1016/j.ces.2019.03.053more
Ultra-thin g-C3N4/MFM-300(Fe) heterojunctions for photocatalytic aerobic oxidation of benzylic carbon centers。
C. Liu, T. Luo, A. Sheveleva, X. Han, X. Kang, S. Sapchenko, F. Tuna, E. J. L. McInnes, B. Han, S. Yang* and M. Schröder*.
Mater. Adv. 2021, 2, 5144-5149.DOI: 10.1039/d1ma00266jmore
Simultaneous Neutron Diffraction and Microwave Characterisation at Elevated Temperatures.
M. Bartera*, G. L. Smith, S. Yang, M. Schrӧder, M. Owen Jones and A. Porcha*.
PCCP 2021, 23, 23602-23609.DOI: 10.1039/d1cp03658kmore
Pore Distortion in a Metal-Organic Framework for Regulated Separation of Propane and Propylene.
L. Yu, X. Han, H. Wang*, S. Ullah, Q. Xia, W. Li, J. Li, I. da Silva, P. Manuel, S. Rudić, Y. Cheng, S. Yang*, T. Thonhauser, J. Li*.
J. Am. Chem. Soc. 2021, 143, 19300-19305.DOI: 10.1021/jacs.1c10423more
Control of zeolite pore interior for chemoselective alkyne/olefin separations.
Y. Chai, X. Han, W. Li, S. Liu, S. Yao, C. Wang, W. Shi, I. da-Silva, P. Manuel, Y. Cheng, L. D. Daemen, A. J. Ramirez-Cuesta, C. C. Tang, L. Jiang, S. Yang, N. Guan and L. Li.
Science 2020, 368, 1002-1006.DOI: 10.1126/science.aay8447more
Quantitative production of butenes from biomass-derived γ-valerolactone over a new hetero-atomic MFI zeolite.
L. Lin, A. M. Sheveleva, I. da Silva, C. M.A. Parlett, Z. Tang, Y. Liu, M. Fan, X. Han, J. H. Carter, F. Tuna, E. J. L. Mcinnes, Y. Cheng, L. L. Daemen, S. Rudić, A.J. Ramirez-Cuesta, C.C. Tang and S. Yang.
Nature Mater. 2020, 19, 86-93.DOI: 10.1038/s41563-019-0562-6more
Adsorption of nitrogen dioxide in a redox-active vanadium metal-organic framework material.
X. Han, Y. Hong, Y. Ma, W. Lu, J. Li, L. Lin, A. M. Sheveleva, F. Tuna, E. J.L. McInnes, C. Dejoie, J. Sun, S. Yang* and M. Schröder*.
J. Am. Chem. Soc. 2020, 142, 15235-15239.DOI: 10.1021/jacs.0c06414more
Electro-reduction of CO2 at low over-potential at a metal-organic framework decorated cathode.
X. Kang, L. Li, A. Sheveleva, X. Han, J. Li, L. Liu, F. Tuna, E. J. L. McInnes, B. Han, S. Yang and M. Schröder.
Nature Commun. 2020, 11, 5464.DOI: 10.1038/s41467-020-19236-4more
Refining pore size with sub-angstrom precision in robust metal-organic frameworks for optimal kinetic separation of xylenes.
X. Li, J. Wang, N. Bai, C. G. Morris, I. da Silva, X. Zhang, X. Han, S. Xu, D. Wilary, Y. Sun, Y. Cheng, C. A. Murray, Chiu C. Tang, M. D. Frogley, G. Cinque, T. Lowe, H. Zhang, A. J. Ramirez-Cuesta, K. M. Thomas, L. W. Bolton, S. Yang* and M. Schröder*.
Nature Commun. 2020, 11, 4280.DOI: 10.1038/s41467-020-17640-4more
Quantitative electro-reduction of CO2 to liquid fuel over electro-synthesised metal-organic frameworks.
X. Kang, B. Wang, K. Hu, K. Lyu, X. Han, B. F. Spencer, M. D. Frogley, F. Tuna, E. J. L. Mcinnes, R. A. W. Dryfe, B. Han*, S. Yang* and M. Schröder*.
J. Am. Chem. Soc. 2020, 142, 17384-17392.DOI: 10.1021/jacs.0c05913more
Guest-controlled incommensurate modulation in a meta-rigid metal-organic framework material.
J. Li, Z. Zhou, X. Han, X. Zhang, Y. Yan, W. Li, G. L. Smith, C. Cheng, L. J. McCormick, S. J. Teat, M. D. Frogley, S. Rudić, A.J. Ramirez-Cuesta, A. J. Blake, J. Sun*, M. Schröder* and S. Yang.
J. Am. Chem. Soc. 2020, 142, 19189-19197.DOI: 10.1021/jacs.0c08794more
CO Poisoning of Ru Catalyst in CO2 Hydrogenation Under Thermal and Plasma Conditions: A Combined Kinetic and DRIFTS-MS Study.
S. Xu, S. Chansai, S. Xu, C. E. Stere, Y. Jiao, S. Yang, C. Hardacre and X. Fan.
ACS Catal. 2020, 10, 12828-12840.DOI: 10.1021/acscatal.0c03620more
Tripyrrin-armed isosmaragdyrins: synthesis, heterodinuclear coordination, and protonation-triggered helical inversion.
C. Li, K. Zhang, M. Ishida, Q. Li, K. Shimomura, G. Baryshnikov, X. Li, M. Savage, X. Wu, S. Yang, H. Furuta* and Y. Xie*.
Chem. Sci. 2020, 11, 2790-2795.DOI: 10.1039/c9sc06197emore
Observation of binding of carbon dioxide to nitro-decorated metal-organic frameworks.
T. D. Duong, S. A. Sapchenko, I. da Silva, H. G.W. Godfrey, Y. Cheng, L. L. Daemen, P. Manuel, M. D. Frogley, G. Cinque, A. J. Ramirez-Cuesta, S. Yang* and M. Schröder*.
Chem. Sci. 2020, 11, 5339-5346.DOI: 10.1039/c9sc04294fmore
C2H4 and C2H6 adsorption-induced structural changes of pillared-layer CPL-2 MOF: A combined experimental and Monte Carlo simulation study.
H. Xiang, J. Carter, C. C. Tang, C. A. Murray, S. Yang, X. Fan* and F. R. Sinperstein.
Chem. Eng. Sci. 2020, 218, 115566.DOI: 10.1016/j.ces.2020.115566more
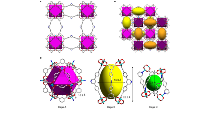
Porous Metal-Organic Polyhedra: Morphology, Porosity and Guest Binding.
S. P. Argent*, I. da Silva, A. Greenaway, M. Savage, J. Humby, A. J. Davies, H. Nowell, W. Lewis, P. Manuel, C. C. Tang, A. J. Blake, M. W. George, A. V. Markevich, E. Besley, S. Yang, N. R. Champness* and M. Schröder*.
Inorg. Chem. 2020, 59, 15646-15658.DOI: 10.1021/acs.inorgchem.0c01935more
Long-term material stability of MFM-300(Al) towards toxic air pollutants.
J. H. Carter, C. G. Morris, H. G. W. Godfrey, S. J. Day, K. Kleiner, C. C. Tang*, S. Yang* and M. Schröder*.
ACS Appl. Mater. Interfaces 2020, 12, 42949-42954.DOI: 10.1021/acsami.0c11134more
Reversible coordinative binding and separation of sulphur dioxide in a robust metal-organic framework with open copper sites.
G. L. Smith, J. E. Eyley, X. Han, X. Zhang, J. Li, N. M. Jacques, H. G.W. Godfrey, S. P. Argent, L. J. McCormick, S. J. Teat, Y. Cheng, M. D. Frogley, G. Cinque, S. J. Day, C. C. Tang, T. L. Easun, S. Rudić, A. J. Ramirez-Cuesta, S. Yang* and M. Schröder*.
Nature Mater. 2019, 18, 1358-1366.DOI: 10.1038/s41563-019-0495-0more
Porous metal-organic frameworks as emerging sorbents for clean air.
X. Han, S. Yang* and M. Schröder*.
Nature Rev. Chem. 2019, 3, 108-118.DOI: 10.1038/s41570-019-0073-7more
Capture of nitrogen dioxide and conversion to nitric acid in a porous metal-organic framework.
J. Li, X. Han, X. Zhang, A. M. Sheveleva, Y. Cheng, F. Tuna, E. J. L. Mcinnes, L. McCormick, S. J. Teat, L. L. Daeman, A. J. Ramirez-Cuesta, M. Schröder* and S. Yang*.
Nature Chem. 2019, 11, 1085-1090.DOI: 10.1038/s41557-019-0356-0more
Breaking the limit of lignin monomer production via cleavage of inunit carbon-carbon linkages.
L. Dong, L. Lin, X. Han, X. Si, X. Liu, Y. Guo*, F. Lu, S. Rudić, S. F. Parker, S. Yang* and Y. Wang*.
Chem. 2019, 5, 1521-1536.DOI: 10.1016/j.chempr.2019.03.007more
Discovery of novel complex metal oxide materials by rapid phase identification and structure determination.
J. Li, C. Lin, Y. Min, Y. Yuan, G. Li, S. Yang, P. Manuel, J. Lin, J. Sun*.
J. Am. Chem. Soc. 2019, 141, 4990-4996.DOI: 10.1021/jacs.9b00093more
Cation-induced chirality in a bifunctional metal-organic framework for quantitative enantioselective recognition.
Z. Han, K. Wang, Y. Guo, W. Chen, X. Zhang, G. Siligardi, S. Yang, Z. Zhou, W. Shi* and P. Cheng.
Nature Commun. 2019, 10, 5117.DOI: 10.1038/s41467-019-13090-9more
Integration of mesopores and crystal defects in metal-organic frameworks via templated electro-synthesis.
X. Kang, K. Lyu, J. Li, L. Kimberley, B. Wang, L. Liu, Y. Cheng, M. D. Frogley, S. Rudić, A. J. Ramirez-Cuesta, R. A. W. Dryfe, B. Han*, S. Yang* and M. Schröder*.
Nature Commun. 2019, 10, 4466.DOI: 10.1038/s41467-019-12268-5more
Host-guest selectivity in a series of isoreticular metal-organic frameworks: observation of acetylene-to-alkyne and carbon dioxide-to-amide interactions.
J. D. Humby, O. Benson, G. L. Smith, S. P. Argent, I. da Silva, Y. Cheng, S. Rudic, P. Manuel, M. D. Frogley, G. Cinque, L. K. Saunders, I. J. Vitórica-Yrezábal, G. F. S. Whitehead, T. L. Easun, W. Lewis, A. J. Blake, A. J. Ramirez-Cuesta, S. Yang* and M. Schröder*.
Chem. Sci. 2019, 10, 1098-1106.DOI: 10.1039/c8sc03622emore
Post-synthetic modulation of the charge distribution in a metal-organic framework for optimal binding of carbon dioxide and sulfur dioxide.
L. Li, I. da Silva, D. I. Kolokolov, X. Han, J. Li, G. Smith, Y. Cheng, L. L. Daemen, C. G. Morris, H. G.W. Godfrey, N. M. Jacques, X. Zhang, P. Manuel, M. D. Frogley, C. A. Murray, A. J. Ramirez-Cuesta, G. Cinque, C. C. Tang, M. Stepanov, S. Yang* and M. Schröder*.
Chem. Sci. 2019, 10, 1472-1482.DOI: 10.1039/c8sc01959bmore
Modulating proton diffusion and conductivity in metal-organic frameworks by incorporation of accessible free carboxylic acid groups.
P. Rought, C. Marsh, S. Pili, I. P. Silverwood, V. García-Sakai, M. Li, M. Brown, S. P. Argent, I. Vitorica-yrezabal, G. Whitehead, M. R. Warren, S. Yang* and M. Schröder*.
Chem. Sci. 2019, 10, 1492-1499.DOI: 10.1039/c8sc03022gmore
Reversible MOF-based sensors for the electrical detection of iodine gas.
L. J. Small, R. C. Hill, J. L. Krumhansl, M. E. Schindelholz, X. Zhang, S. Yang, M. Schröder, and T. M. Nenoff*.
ACS Appl. Mater. Interfaces, 2019, 11, 27982-27988.DOI: 10.1021/acsami.9b09938more
Iodine adsorption in a redox-active metal-organic framework: host-guest-charge-transfer induced electrical conductivity.
X. Zhang, I. da Silva, R. Fazzi, A. M. Sheveleva, B. F. Spencer, S. A. Sapchenko, F. Tuna, E. J.L. McInnes, M. Li, S. Yang* and M. Schröder*.
发表文献: Inorg. Chem. 2019, 58, 14145-14150.
Inorg. Chem. 2019, 58, 14145-14150.DOI: 10.1021/acs.inorgchem.9b02176more
Analysis by synchrotron X-ray scattering of the kinetics of formation of an Fe-based metal-organic framework with high CO2 adsorption.
H. G. W. Godfrey, L. Briggs, X. Han, W. J. F. Trenholme, C. G. Morris, M. Savage, L. Kimberly, O. Magdysyuk, M. Drakopoulos, C. A. Murray, C.C. Tang, M. D. Frogley, G. Cinque, S. Yang* and M. Schröder*.
APL Mater. 2019, 7, 111104.DOI: 10.1063/1.5121644more
Reversible adsorption of nitrogen dioxide within a robust metal-organic framework.
X. Han, H. G.W. Godfrey, L. Briggs, A. J. Davies, Y. Cheng, L. L. Daemen, A. M. Sheveleva, F. Tuna, E. J.L. McInnes, J. Sun, C. Drathen, M. W. George, A. J. Ramirez-Cuesta, K. M. Thomas, S. Yang* and M. Schröder*.
Nature Mater. 2018, 17, 691-696.DOI: 10.1038/s41563-018-0104-7more
Ammonia storage via reversible host-guest site exchange in a robust metal-organic framework.
H. G. W. Godfrey, I. da Silva, L. Briggs, J. H. Carter, C. G. Morris, M. Savage, T. L. Easun, P. Manuel, C. C. Tang, C. A. Murray, M. D. Frogley, G. Cinque, S. Yang* and M. Schröder*.
Angew. Chem. Int. Ed. 2018, 57, 14778-14781.DOI: 10.1002/anie.201811397more
Locating the binding domain in a highly selective mixed matrix membrane via synchrotron IR microspectroscopy.
N. M. Jacques, P. R. E. Rought, D. Fritsch, M. Savage, H. G. W. Godfrey, L. Li, T. Mitra, M. D. Frogley, G. Cinque, S. Yang* and M. Schröder*.
Chem. Commun. 2018, 54, 2866-2869.DOI: 10.1039/c7cc08932emore
Exceptional adsorption and binding of sulphur dioxide in a robust zirconium-based metal-organic framework.
J. H. Carter, X. Han, F. Y. Moreau, I. da Silva, A. Nevin, H. G.W. Godfrey, C. C. Tang, S. Yang* and M. Schröder*.
J. Am. Chem. Soc. 2018, 140, 15564-15567.DOI: 10.1021/jacs.8b08433more
Optimal binding of acetylene to a nitro-decorated metal-organic framework.
T. D. Duong, S. Sapchenko, I. da Silva, H. G.W. Godfrey, Y. Cheng, L. L. Daemen, P. Manuel, A. J. Ramirez-Cuesta, S. Yang* and M. Schröder*.
J. Am. Chem. Soc. 2018, 140, 16006-16009.DOI: 10.1021/jacs.8b08504more
Direct observation of supramolecular binding of light hydrocarbons in vanadium (III) and (IV) metal-organic framework materials.
Z. Lu, H. G.W. Godfrey, I. da Silva, Y. Cheng, M. Savage, P. Manuel, S. Rudić, A. J. Ramirez-Cuesta, S. Yang* and M. Schröder*.
Chem. Sci. 2018, 9, 3401-3408.DOI: 10.1039/c8sc00330kmore
Enhancement of CO2 uptake and selectivity in a metal-organic framework by incorporation of thiophene functionality.
V. A. Bolotov, K. A. Kovalenko, D. G. Samsonenko, X. Han, X. Zhang, G. L. Smith, L. J. McCormick, S. J. Teat, S. Yang, M. J. Lennox, A. Henley, E. Besley, V. P. Fedin, D. N. Dybtsev* and M. Schröder*.
Inorg. Chem. 2018, 57, 5074-5082.DOI: 10.1021/acs.inorgchem.8b00138more
An acid-free conversion of cellulose to 5-hydroxymethylfurfural catalyzed by hot seawater.
X. Li, Y. Zhang, Q. Xia, K. Peng, X. Liu, S. Yang* and Y. Wang*.
Ind. Eng. Chem. Res. 2018, 57, 3545-3553.DOI: 10.1021/acs.iecr.8b00443more
High volumetric hydrogen adsorption in a porous anthracene-decorated metal–organic framework.
Y. Yan, I. da Silva, A. J. Blake, A. Dailly, P. Manuel, S. Yang* and M. Schröder*.
Inorg. Chem. 2018, 57, 12050-12055.DOI: 10.1021/acs.inorgchem.8b01607more
Enhancement of proton conductivity in non-porous metal-organic frameworks: the role of framework proton density and humidity.
S. Pili, P. Rought, D. I. Kolokolov, L. Lin, I. da-Silva, Y. Cheng, C. Marsh, I. P. Silverwood, V. García-Sakai, M. Li, J. J. Titman, L. L. Daemen, A. J. Ramirez-Cuesta, C. C. Tang, A. G. Stepanov, S. Yang* and M. Schröder*.
Chem. Mater. 2018, 30, 7593-7602.DOI: 10.1021/acs.chemmater.8b02765more
Comparison of two multifunctional catalysts [M/Nb2O5 (M=Pd, Pt)] for one-pot hydrodeoxygenation of lignin.
L. Dong, Y. Shao, X. Han, X. Liu, Q. Xia*, S. F. Parker, Y. Cheng, L. L. Daemen, A.J. Ramirez-Cuesta, Y. Wang* and S. Yang*.
Catal. Sci. Technol. 2018, 8, 6129-6136.DOI: 10.1039/c8cy01459kmore
Structural and Dynamic Studies of Substrate Binding in Porous Metal-Organic Frameworks.
T.L. Easun, F. Moreau, Y. Yan, S. Yang* and M. Schröder*.
Chem. Soc. Rev. 2017, 46, 239-274.DOI: 10.1039/c6cs00603emore
Modulating Supramolecular Binding of Carbon Dioxide in a Redox-Active Porous Host.
Z. Lu, H. G.W. Godfrey, I. da Silva, Y. Cheng, M. Savage, F. Tuna, E.J.L. McInnes, S.J. Teat, K.J. Gagnon, M.D. Frogley, P. Manuel, S. Rudić, A.J. Ramirez-Cuesta, T. L. Easun, S. Yang* and M. Schröder*.
Nature Commun. 2017, 8, 14212.DOI: 10.1038/ncomms14212more
Unravelling Exceptional Acetylene and Carbon Dioxide Adsorption within A Tetra-amide Functionalised Metal-Organic Framework.
F. Moreau, I. da Silva, N. A. Smail, H.G.W. Godfrey, S.F. Parker, P. Manuel, T. L. Easun, S. Yang* and M. Schröder*.
Nature Commun. 2017, 8, 14085.DOI: 10.1038/ncomms14085more
Engineering Porosity and Rotational Dynamics in a Series of Octacarboxylate Metal-Organic Frameworks.
F. Moreau, D.I. Kolokolov, A.G. Stepanov, T.L. Easun, A. Dailly, W. Lewis, A. J. Blake, H. Nowell, M. Lennox, E. Besley, S. Yang* and M. Schröder*.
PNAS 2017, 114, 3056-3061.DOI: 10.1073/pnas.1615172114more
Stepwise Observation and Quantification and Mixed Matrix Membrane Separation of CO2 within a Hydroxyl-Decorated Porous Host.
C. G. Morris, N. M. Jacques, H. G. W. Godfrey, T. Mitra, D. Fritsch, C. A. Murray, J. Potter, T. M. Cobb, F. Yuan, C. C. Tang, S. Yang* and M. Schröder*.
Chem. Sci. 2017, 8, 3239-3248.DOI: 10.1039/c6sc04343gmore
New Synchrotron Powder Diffraction Facility for Long Duration Experiments.
C.A. Murray, J. Potter, S.J. Day, A. R. Baker, S.P. Thompson, F. Yuan, J. Kelly, C.G. Morris, S. Yang and C.C. Tang*.
J. Applied Crystal. 2017, 50, 172-183.DOI: 10.1107/s1600576716019750more
Metal-Organic Frameworks in Seconds: Understanding the Mechanism of Microwave Heating.
A. Laybourn, J. Katrib, R. S. Ferrari-John, C. G. Morris, S. Yang, O. Udoudo, T. L. Easun, C. Dodds, N. R. Champness, S. W. Kingman* and M. Schröder*.
J. Mater. Chem. A, 2017, 5, 7333-7338.DOI: 10.1039/c7ta01493gmore
Binding CO2 by a Cr8 metallacrown.
I.J. Vitorica-Yrezábal, D.F. Sava, G.A. Timco, M.S. Brown, M. Savage, H.G. W. Godfrey, F. Moreau, M. Schröder, F. Siperstein, L. Brammer, S. Yang, M. P. Attfield, J. J. W. McDouall and R. E.P. Winpenny*.
Angew. Chem. Int. Ed. 2017, 56, 5527-5530.DOI: 10.1002/anie.201701726more
Selective Production of Arenes via Direct Lignin Upgrading over A Niobium-based Catalyst.
Y. Shao, Q. Xia, X. Liu, X. Han, S.F. Parker, Y. Cheng, L. L. Daemen, A. J. Ramirez-Cuesta, S. Yang* and Y. Wang*.
Nature Commun. 2017, 8, 16104.DOI: 10.1038/ncomms16104more
Porous Metal–Organic Polyhedral Frameworks with Optimal Molecular Dynamics and Pore Geometry for Methane Storage.
Y. Yan, I. da Silva, A. J. Blake, A. Dailly, P. Manuel, S. Yang* and M. Schröder*.
J. Am. Chem. Soc. 2017, 139, 13349-13360.DOI: 10.1021/jacs.7b05453more
Supramolecular networks stabilise and functionalise black phosphorus.
V. V. Korolkov, I. G. Timokhin, R. Haubrichs, E. F. Smith, L. Yang, S. Yang, N. R. Champness, M. Schröder and P. H. Beton*.
Nature Commun. 2017, 8, 1385.DOI: 10.1038/s41467-017-01797-6more
Confinement of Iodine Molecules into Triple-helical Chains within Robust Metal–Organic Frameworks.
X. Zhang, I. da Silva, H. G.W. Godfrey, S. K. Callear, S.A. Sapchenko, Y. Cheng, I. Vitórica-Yrezábal, M. D. Frogley, G. Cinque, C. C. Tang, C. Giacobbe, C. Dejoie, S. Rudić, A. J. Ramirez-Cuesta, M. A. Denecke, S. Yang* and M. Schröder*.
J. Am. Chem. Soc. 2017, 139, 16289-16296.DOI: 10.1021/jacs.7b08748more
Selective Adsorption of Sulphur Dioxide in a Robust Metal-Organic Framework Material.
M. Savage, Y. Cheng, T. L. Easun, J.E. Eyley, S.P. Argent, M.R. Warren, W. Lewis, C. Murray, C.C. Tang, M.D. Frogley, G. Cinque, J. Sun, S. Rudić, R.T. Murden, M.J. Benham, A.N. Fitch, A.J. Blake, A.J. Ramirez-Cuesta, S. Yang* and M. Schröder*.
Adv. Mater. 2016, 28, 8705-8711.DOI: 10.1002/adma.201602338more
Macrocyclic Transformations from Norrole to Isonorrole and an N-Confused Corrole with a Fused Hexacyclic Ring System Triggered by a Pyrrole Substituent.
M. Li, P. Wei, M. Ishida, X. Li, M. Savage, R. Guo, Z. Ou, S. Yang, H. Furuta* and Y. Xie*.
Angew. Chem. Int. Ed. 2016, 55, 3063-3067.DOI: 10.1002/anie.201510879more
Direct Hydrodeoxygenation of Raw Woody Biomass into Liquid Alkanes.
Q. Xia, Z. Chen, Y. Shao, X. Gong, H. Wang*, X. Liu, S.F. Parker, X. Han, S. Yang* and Y. Wang*.
Nature Commun. 2016, 7, 11162.DOI: 10.1038/ncomms11162more
Observation of Binding and Rotation of Methane and Hydrogen within a Metal-Organic Framework at Crystallographic Resolution.
M. Savage, I. da Silva, M. Johnson, J. H. Carter, R. Newby, M. Suyetin, E. Besley, P. Manuel, S. Rudić, A. N. Fitch, C. Murray, W. I.F. David, S. Yang* and M. Schröder*.
J. Am. Chem. Soc. 2016, 138, 9119-9127.DOI: 10.1021/jacs.6b01323more
Enhancement of CO2 Adsorption and Catalytic Properties by Fe-doping of [Ga2(OH)2(L)] (H4L = biphenyl-3,3’,5,5’-tetracarboxylic acid), MFM-300(Ga2).
C. P. Krap, R. Newby, A. Dhakshinamoorthy, H. García, I. Cebula, T. L. Easun, M. Savage, J. E. Eyley, S. Gao, A. J. Blake, W. Lewis, P. H. Beton, M. R. Warren, D.
Acs.inorgchem.5b02108.DOI: 10.1021/acs.inorgchem.5b02108more
Multiferroicity Broken by Commensurate Magnetic Ordering in Terbium Orthomanganite.
H. Zhang, R. Flacau, J. Lin, X. Du, P. Manuel, J. Cong, Y. Sun, J. Sun, S. Yang, G. Li*, F. Liao and J. Lin*.
ChemPhysChem. 2016, 17, 1098-1103.DOI: 10.1002/cphc.201501188more
Rational Syntheses of Helical π-conjugated Oligopyrrins with a Bipyrrole Linkage: Geometry Control of Bis-Copper(II) Coordination.
K. Zhang, M. Savage, X. Li, Y. Jiang, M. Ishida, K. Mitsuno, S. Karasawa, T. Kato, W. Zhu, S. Yang, H. Furutad* and Y. Xie*.
Chem. Commun. 2016, 52, 5148-5151.DOI: 10.1039/c6cc00707dmore
Selective Hysteretic Sorption of Light Hydrocarbons in a Flexible Metal-Organic Framework Material.
S. Gao, C. G. Morris, Z. Lu, Y. Yan, H.G.W. Godfrey, C. Murray, C.C. Tang, K. M. Thomas, S. Yang* and M. Schröder*.
Chem. Mater. 2016, 28, 2331-2340.DOI: 10.1021/acs.chemmater.6b00443more
Adsorption Properties of MFM-400 and MFM-401 with CO2 and Hydrocarbons: Selectivity Derived from Directed Supramolecular Interactions.
I.A. Ibarra, A. Mace, S. Yang, J. Sun, S. Lee, J. Chang, A. Laaksonen, M. Schröder* and X. Zou*.
Inorg. Chem. 2016, 55, 7219-7228.DOI: 10.1021/acs.inorgchem.6b00035more
Proton Conduction in a Phosphonate-based Metal-Organic Framework Mediated by Intrinsic “Free Diffusion Inside a Sphere”.
S. Pili, S.P. Argent, C.G. Morris, P. Rought, V. García-Sakai, I.P. Silverwood, T.L. Easun, M. Li, M.R. Warren, C. Murray, C.C. Tang, S. Yang* and M. Schröder*.
J. Am. Chem. Soc. 2016, 138, 6352-6355.DOI: 10.1021/jacs.6b02194more
Novel Tetra- and Octapyrroles Synthesized from Confusion and Fusion Approaches.
J. Kong, Q. Zhang, M. Savage, M. Li, X. Li, S. Yang, X. Liang, W. Zhu, H. Ågren and Y. Xie*.
Org. Lett. 2016, 18, 5046-5049.DOI: 10.1021/acs.orglett.6b02495more
Amides Do Not Always Work! Observation of CO2 Binding in an Amide-Functionalised Metal-Organic Framework Material.
O. Benson, I. da Silva, S.P. Argent, R.C. Mesquida, M. Savage, H.G.W. Godfrey, Y. Yan, S. F. Parker, P. Manuel, M.J. Lennox, T. Mitra, T. L. Easun, W. Lewis, A. J. Blake, E. Besley, S. Yang* and M. Schröder*.
J. Am. Chem. Soc. 2016, 138, 14828-14831.DOI: 10.1021/jacs.6b08059more
Supramolecular Binding and Separation of Hydrocarbons within a Functionalised Porous Metal-Organic Framework.
S. Yang*, A.J. Ramirez-Cuesta, R. Newby, V. Garcia-Sakai, P. Manuel, S.K. Callear, S.I. Campbell, C.C. Tang and M. Schröder*.
Nature Chem. 2015, 7, 121-129. Journal Cover Article.DOI: 10.1038/nchem.2114more
Structural and Magnetic Properties of Tetragonal Perovskite BaFe1-xBixO3–δ.
M.A. Farid, H. Zhang, X. Lin, A. Yang, S. Yang, G. Li*, F. Liao and J. Lin*.
RSC Adv. 2015, 5, 12866-12871.DOI: 10.1039/c4ra13540gmore
Structural Aspects of Metal-Organic Framework-based Energy Materials Research at Diamond.
D.R. Allan, A.J. Blake*, M. Schröder, C.C. Tang and S. Yang.
Phil. Trans. R. Soc. A 2015, 373, 20130149.DOI: 10.1098/rsta.2013.0149more
Hierarchical ZSM-5 Catalyst Synthesized by a Triton X-100 Assisted Hydrothermal Method.
S. Narayanan, J. J. Vijaya, S. Sivasanker, S. Yang and L. J. Kennedy*.
Chi. J. Catal. 2014, 1892-1899.DOI: 10.1016/s1872-2067(14)60177-7more
Studies on Metal-Organic Frameworks of Cu(II) with Isophthalate Linkers for Hydrogen Storage.
Y. Yan, S. Yang, A.J. Blake and M. Schröder*.
Acc. Chem. Res. 2014, 47, 296-307.DOI: 10.1021/ar400049hmore
A Robust Binary Supramolecular Organic Framework (SOF) with High CO2 Adsorption and Selectivity.
J. Lü, C. Perez-Krap, M. Suyetin, N. H. Alsmail, Y. Yan, S. Yang, W. Lewis, E. Bichoutskaia, C.C. Tang, A.J. Blake, R. Cao* and M. Schröder*.
J. Am. Chem. Soc. 2014, 136, 12828-12831.DOI: 10.1021/ja506577gmore
Synthesis of Metal-Organic Frameworks by Continuous Flow.
P.A. Bayliss, I.A. Ibarra, E. Pérez, S. Yang, C.C. Tang, M. Poliakoff* and M. Schröder*.
Green Chem. 2014, 16, 3796-3802.DOI: 10.1039/c4gc00313fmore
Inelastic Neutron Scattering Study of Binding of Para-hydrogen in an Ultra-Microporous Metal-Organic Framework.
S. Yang*, A.J. Ramirez-Cuesta and M. Schröder*.
Chem. Phys. 2014, 428, 111-116.DOI: 10.1016/j.chemphys.2013.11.004more
Synthesis, Structure and Conductivity of BaIn0.8Mn0.2O3–δ.
C. Yang, T. Shu, H. Zhang, D. Ji, Z. Shou, C. Xiong, S. Yang, G. Li*, F. Liao and J. Lin*.
Solid State Ions 2014, 257, 42-52.more
A Novel Bismuth-Based Metal-Organic Framework for High Volumetric Methane and Carbon Dioxide Adsorption.
M. Savage, S. Yang*, M. Suyetin, E. Bichoutskaia, A.J. Blake, S.A. Barnett and M. Schröder*.
Chem. Eur. J. 2014, 20, 8024-8029.DOI: 10.1002/chem.201304799more
Irreversible Network Transformation in a Dynamic Porous Host Catalysed by Sulphur Dioxide.
S. Yang*, L. Liu, J. Sun, K. M. Thomas, A. J. Davies, M. W. George, A. J. Blake, A. H. Hill, A. N. Fitch, C. C. Tang and M. Schröder*.
J. Am. Chem. Soc. 2013, 135, 4954-4957.DOI: 10.1021/ja401061mmore
Permanent Porosity Derived From the Self-Assembly of Highly Luminescent Molecular Zinc Carbonate Nanoclusters.
K. Sokołowski, W. Bury, D. Fairen-Jimenez, I. Justyniak, K. Sołtys, D. Prochowicz, S. Yang, M. Schröder and J. Lewiński*.
Angew. Chem. Int. Ed. 2013, 52, 13414-13418.DOI: 10.1002/anie.201306785more
Packing of Isophthalate Tetracarboxylic Acids on Au(111): Rows and Disordered Herringbone Structures.
I. Cebula, E. Smith, M. Gimenez-Lopez, S. Yang, M. Schröder, N.R. Champness and P. Beton*.
J. Phys. Chem. C 2013, 117, 18381–18385.DOI: 10.1021/jp402333mmore
Selectivity and Direct Visualisation of Carbon Dioxide and Sulphur Dioxide in a Decorated Porous Host.
S. Yang*, J. Sun, A.J. Ramirez-Cuesta, S.K. Callear, W.I.F. David, D.P. Anderson, R. Newby, A.J. Blake, J.E. Parker, C.C. Tang and M. Schröder*.
Nature Chem. 2012, 4, 887-894. Journal Cover Article. Highlighted by Reuters News.DOI: 10.1038/nchem.1457more
A Partially Interpenetrated Metal–Organic Framework for Selective Hysteretic Sorption of Carbon Dioxide.
S. Yang*, X. Lin, W. Lewis, M. Suyetin, E. Bichoutskaia, J.E. Parker, C.C. Tang, D.R. Allan, P. Hubberstey, N.R. Champness, K.M. Thomas, A.J. Blake and M. Schröder*.
Nature Mater. 2012, 11, 710-716. Highlighted by BBC News.DOI: 10.1038/nmat3343more
Near-Critical Water, a Cleaner Solvent for the Synthesis of a Metal-Organic Framework.
I.A. Ibarra, P.A. Bayliss, E. Pérez, S. Yang, A.J. Blake, H. Nowell, D.R. Allan, M. Poliakoff* and M. Schröder*.
Green Chem. 2012, 14, 117-122.DOI: 10.1039/c1gc15726dmore
Synthesis, Structure and Magnetic Property of A New Nickel (II) 1,4-benzenedicarboxylate.
W. Hua, Y. Fu, J. Su, S. Yang, G. Li*, F. Liao and J. Lin*.
J. Mol. Struct. 2012, 1010, 184-189.DOI: 10.1016/j.molstruc.2011.12.005more
SU-75: A Disordered Ge10 Germanate with pcu Topology.
S. Huang, A.K. Inge, S. Yang, K.E. Christensen, X. Zou and J. Sun*.
Dalton Trans. 2012, 41, 12358-12364.DOI: 10.1039/c2dt30767gmore
Selective CO2 Uptake and Inverse CO2/C2H2 Selectivity in a Dynamic Bi-Functional Metal-Organic Framework.
W. Yang, A.J. Davies, X. Lin, M. Suyetin, R. Matsuda, A.J. Blake, C. Wilson, W. Lewis, J.E. Parker, C.C. Tang, M.W. George, P. Hubberstey, S. Kitagawa, H. Sakamoto, E. Bichoutskaia, N.R. Champness, S. Yang* and M. Schröder*.
Chem. Sci. 2012, 3, 2993-2999.DOI: 10.1039/c2sc20443fmore
Pore with Gate – Enhancement of the Isosteric Heat of Adsorption of Dihydrogen via Postsynthetic Cation Exchange.
S. Yang, G.S.B. Martin, J.J. Titman, A.J. Blake, D.R. Allan, N.R. Champness* and M. Schröder*.
Inorg. Chem. 2011, 50, 9374-9384.DOI: 10.1021/ic200967bmore
Highly Porous and Robust Scandium-based Metal-Organic Frameworks for Hydrogen Storage.
I.A. Ibarra, S. Yang, X. Lin, A.J. Blake, P.J. Pizkallah, H. Nowell, D.R. Allan, N.R. Champness, P. Hubberstey and M. Schröder*.
Chem. Commun. 2011, 47, 8304-8306.DOI: 10.1039/c1cc11168jmore
A Mesoporous Metal-Organic Framework Constructed from a Nanosized C3-symmetric Linker and [Cu24(isophthalate)24] Cuboctahedra.
Y. Yan, S. Yang, A. J. Blake, W. Lewis, E. Poirier, S.A. Barnett, N.R. Champness and M. Schröder*.
Chem. Commun. 2011, 47, 9995-9997.DOI: 10.1039/c1cc13170bmore
Encapsulation of Transition Metal Atoms into Carbon Nanotubes: A Supramolecular Approach.
J. Fan, T.W. Chamberlain, Y. Wang, S. Yang, A.J. Blake, M. Schröder* and A.N. Khlobystov*.
Chem. Commun. 2011, 47, 5696-5698.DOI: 10.1039/c1cc13170bmore
Pore with Gate: Modulating Hydrogen Storage in Metal Organic Framework Materials via Cation Exchange.
S. Yang, S.K. Callear, A. J. Ramirez-Cuesta, W.I.F. David, J. Sun, A.J. Blake, N.R. Champness and M. Schröder*.
Faraday Discuss. 2011, 151, 19-36.DOI: 10.1039/c1fd00006cmore
High Capacity Gas Storage by a 4,8-Connected Metal-Organic Polyhedral Framework.
C. Tan, S. Yang, X. Lin, A.J. Blake, W. Lewis, N.R. Champness and M. Schröder*.
Chem. Commun. 2011, 47, 4487-4489.DOI: 10.1039/c1cc10378dmore
Syntheses, Structures, and Gas Adsorption Properties of Two Novel Cadmium-Sodium Organic Frameworks with 1,3,5-Benzenetricarboxylate Ligands.
Y. Fu, J. Su, Z. Zou, S. Yang, G. Li*, F. Liao and J. Lin*.
Cryst. Growth Des. 2011, 11, 3529-3535.DOI: 10.1021/cg200443pmore
Syntheses, Structures, and Structural Transformations of Mixed Na(I) and Zn(II) Metal-Organic Frameworks with 1,3,5-Benzenetricarboxylate Ligands.
Y. Fu, J. Su, S. Yang, Z. Zou, G. Li*, F. Liao, M. Xiong and J. Lin*.
Cryst. Growth Des. 2011, 11,2243-2249.DOI: 10.1021/cg101610kmore
Two New Germanates with Nickel Complexes Incorporated into the Framework.
S. Huang, K. Christensen, M.V. Peskov, S. Yang, K. Li, X. Zou and J. Sun*.
Inorg. Chem. 2011, 50, 9921-9923.DOI: 10.1021/ic2013478more
Structures and H2 Adsorption Properties of Porous Scandium Metal-Organic Frameworks.
I.A. Ibarra, X. Lin, S. Yang, A.J. Blake, G.S. Walker, S.A. Barnett, D.R. Allan, N.R. Champness, P. Hubberstey and M. Schröder*.
Chem. Eur. J. 2010, 16, 13671-13679.DOI: 10.1002/chem.201000926more
Metal-Organic Polyhedral Frameworks: High H2 Adsorption Capacities and Neutron Powder Diffraction Studies.
Y. Yan, I. Telepeni, S. Yang, X. Lin, W. Kockelmann, A. Dailly, A.J. Blake, W. Lewis, G.S. Walker, D.R. Allan, S.A. Barnett, N.R. Champness and M. Schröder*.
J. Am. Chem. Soc. 2010, 132, 4092-4094.DOI: 10.1021/ja1001407more
Syntheses, Structures and Magnetic Properties of Mn(II), Co(II) and Ni(II) Metal-Organic Frameworks Constructed from 1,3,5-Benzenetricarboxylate and Formate Ligands.
Y. Fu, J. Su, S. Yang, G. Li*, F. Liao, M. Xiong and J. Lin*.
Inorg. Chim. Acta 2010, 363, 645-652.DOI: 10.1016/j.ica.2009.11.019more
Cation-Induced Kinetic Trapping and Enhanced Hydrogen Adsorption in a Modulated Anionic Metal Organic Framework.
S. Yang, X. Lin, A.J. Blake, G.S. Walker, P. Hubberstey, N.R. Champness* and M. Schröder*.
Nature Chem. 2009, 1, 487-493. Subject of Nature News and Views, R. Snurr. Nature Chem. 2009, 1, 426-427.DOI: 10.1038/nchem.333more
Enhancement of H2 Adsorption in Co-ordination Framework Materials by Use of Ligand Curvature.
S. Yang, X. Lin, A. Dailly, A.J. Blake, P. Hubberstey, N.R. Champness* and M. Schröder*.
Chem. Eur. J. 2009, 15, 4829-4835.DOI: 10.1002/chem.200802292more
Exceptionally High H2 Storage by a Metal–Organic Polyhedral Framework.
Y. Yan, X. Lin, S. Yang, A.J. Blake, A. Dailly, P. Hubberstey, N.R. Champness* and M. Schröder*.
Chem. Commun. 2009, 1025-1027.DOI: 10.1039/b900013emore
Synthesis and Characterization of a Fluorotitanophosphate Cluster K0.16(NH4)0.84[Ti2F2(PO4)2(PO3OH)] with a Unique Lamella Framework.
S. Yang, G. Li*, W. Liu, W. Wang, Z. Yan, Y. Huang, F. Liao and J. Lin*.
Inorg. Chem. 2009, 48, 5449-5453.DOI: 10.1021/ic900504mmore
New Double Formates Na3M(HCOO)6 (M = Ga, In) with Diamond-like Metal Framework: Synthesis, Structure and Coordination Modes.
J. Su, Y. Wang*, W. Li, S. Yang, G. Li, F. Liao and J. Lin*.
J. Mol. Struct. 2009, 937, 39-43.DOI: 10.1016/j.molstruc.2009.08.009more
Enhancement of H2 Adsorption in Li+-Exchanged Co-ordination Framework Materials.
S. Yang, X. Lin, A.J. Blake, K.M. Thomas, P. Hubberstey, N.R. Champness* and M. Schröder*.
Chem. Commun. 2008, 6108-6110. Journal cover article.DOI: 10.1039/b814155jmore
Oxyfluorotitanophosphate Cluster [Ti10P4O16F44]16-: Synthesis and Characterization of K16[Ti10P4O16F44].
S. Yang, G. Li*, A.J. Blake, J. Sun, M. Xiong, F. Liao and J. Lin*.
Inorg. Chem. 2008, 47, 1414-1416. DOI: 10.1021/ic702214gmore
Four Isomorphous Phosphates AM3P4O14 (A=Sr, Ba; M=Co, Mn) with Antiferromagnetic-Antiferromagnetic-Ferromagnetic Trimerized Chains, Showing 1/3 Quantum Magnetization Plateaus Only in the Manganese(II) System.
T. Yang, Y. Zhang, S. Yang, G. Li, M. Xiong, F. Liao and J. Lin*.
Inorg. Chem. 2008, 47, 2562-2568.DOI: 10.1021/ic702346emore
A Novel Aluminoborate Cluster [AlB12O14(OH)12]: Synthesis and Structure of [AlB12O14(OH)12][C5H6N].
S. Yang, G. Li*, J. Ju, Z. Yang, F. Liao, Y. Wang and J. Lin*.
Inorg. Chim. Acta 2008, 361, 2413-2417.DOI: 10.1016/j.ica.2007.12.025more
Two Isotypic Diphosphates LiM2H3(P2O7)2 (M = Ni, Co) Containing Ferromagnetic Zigzag MO6 Chains.
T. Yang, S. Yang, F. Liao and J. Lin*.
J. Solid State Chem. 2008, 181, 1347-1353.DOI: 10.1016/j.jssc.2008.03.006more
Syntheses and Structural Characterization of A Series of One-Dimensional Fluorotitanophosphates (NH4)xK4-x[Ti2PO4F9] (x=0, 0.70, 1.00, 1.25).
S. Yang, G. Li*, L. Li, S. Tian, F. Liao, M. Xiong and J. Lin*.
Inorg. Chem. 2007, 46, 11431-11436.DOI: 10.1021/ic701715kmore
Synthesis and Structure of [C2H10N2][B5O8(OH)]: a Nonmetal Pentaborate With Nonlinear Optical Property.
S. Yang, G. Li*, S. Tian, F. Liao and J. Lin*.
Cryst. Growth Des. 2007, 7, 1246-1250.DOI: 10.1021/cg0606794.more
Na3[Ti2P2O10F]: A New Oxyfluorinated Titanium Phosphate with Ionic Conductive Property.
S. Yang, G. Li*, L. You, J. Tao, C.K. Loong, S. Tian, F. Liao and J. Lin*.
Chem. Mater. 2007, 19, 942-947.DOI: 10.1021/cm062513wmore
MH2P2O7 (M = Co, Ni): Metamagnetic Interaction between the Zig-zag Octahedral Chains.
T. Yang, J. Ju, G. Li, S. Yang, J. Sun, F. Liao, J. Lin*, J. Sasaki and N. Toyota.
Inorg. Chem. 2007, 46, 2342-2344.DOI: 10.1021/ic061665qmore
Synthesis and Crystal Structure of a Polyborate [HN(C2H5)3][B5O6(OH)4].
Z. Yang, S. Yang, G. Li*, S. Tian, F. Liao and J. Lin.
Acta Phys.-Chim. Sinica 2007, 23, 285-288. Journal cover article.more
Synthesis and Crystal Structure of an 1,6-Hexyldiamine Heptaborate [B7O10(OH)3][H3N(CH2)6NH3].
S. Yang, G. Li*, S. Tian, F. Liao, M. Xiong and J. Lin.
J. Solid State Chem. 2007, 180, 2225-2232.DOI: 10.1016/j.jssc.2007.05.029more
A New Series of Indium Formates: Hydrothermal Synthesis, Structure and Coordination Modes.
J. Su, Y. Wang*, S. Yang, G. Li, F. Liao and J. Lin*.
Inorg. Chem. 2007, 46, 8403-8409.DOI: 10.1021/ic7007599more
Synthesis, Structure, and Magnetic Properties of Hydroxo-Bridged Vanadium Oxalate V2O2(OH)2(C2O4)(H2O)2.
S. Yang, G. Li*, S. Tian, F. Liao and J. Lin.
Eur. J. Inorg. Chem. 2006, 14, 2850-2854.DOI: 10.1002/ejic.200600103more
An Open-Framework Three-Dimensional Indium Oxalate: [In(OH)(C2O4)(H2O)]3·H2O.
S. Yang, G. Li*, S. Tian, F. Liao and J. Lin.
J. Solid State Chem. 2005, 178, 3703-3707.DOI: 10.1016/j.jssc.2005.09.025more
Bis(ethylenediammonium) Deca-aquadisodium Decavanadate (C2H10N2)2[Na2(H2O)10][V10O28].
G. Li*, S. Yang, M. Xiong and J. Lin.
Acta Crystallogr. Sect. C 2004, C60, m612–m614.DOI: 10.1107/s0108270104025648more